If you are scoring 120 marks in CAT, then you can expect a percentile of around 99.9 percentile. Many government and private colleges, along with prestigious IIMs like IIM Ahmedabad, IIM Calcutta, and IIM Bangalore, give MBA admission based on a CAT score of 99+ percentile. Such a CAT score requires a sectional scaled score of 51 to 53 marks in VARC, 42 to 46 in DILR, and 43 to 48 marks in QA. In this article, we will explore what percentile you can expect scoring 120 marks in the CAT exam, the CAT 2025 expected percentile, the CAT normalisation process, IIMs and top B-schools, and much more.
A key factor influencing the CAT 2025 result timeline is the gap between the examination date and the declaration of results. In previous years, CAT results have typically been announced 24 to 25 days after the exam. Going by this trend, the CAT 2025 result is expected to be released between December 24 and 26.
This Story also Contains
LATEST CAT 2025 Result LIVE Updates | CAT 2025 Cut Off LIVE Updates | Official CAT 2025 Final Answer Key RELEASED
Candidates scoring 120 marks in CATt 2025 exam can expect a CAT score around 99.9 percentile and, in turn, get into prestigious IIMs like IIM Ahmedabad, IIM Bangalore for MBA admission 2026-28.
CAT 2025 Percentile | 120 Marks in CAT |
99.9 | 120 |
ALSO CHECK: CAT 2025 Slot 1 Score vs Percentile | CAT 2025 Slot 2 Score vs Percentile | CAT 2025 Slot 3 score vs percentile
Check the data by IMS India for candidates who scored 120 marks in the recently concluded CAT 2025 exam on November 30, 2025.
Percentile | Slot 1 CAT Marks | Slot 2 CAT Marks | Slot 3 CAT Marks |
99.9 | 122 | 115 | 119 |
99.5 | 103 | 97 | 101 |
99 | 90 | 83 | 87 |
98 | 81 | 75 | 77 |
95 | 70 | 65 | 66 |
90 | 53 | 51 | 52 |
Here are the 120 marks in CAT percentile data collected by IQuanta, who are eager to know their CAT score and calculate the percentile before the declaration of the CAT 2025 results.
Percentile | Slot 1 CAT Marks | Slot 2 CAT Marks | Slot 3 CAT Marks |
99.9 | 120 | 121 | 115 |
99.5 | 100 | 102 | 97 |
99 | 88 | 90 | 85 |
98 | 75 | 77 | 72 |
95 | 65 | 67 | 65 |
90 | 54 | 56 | 52 |
Also Read:
If candidates scored 120 marks out of 204 marks in the CAT 2025 exam, they can expect a CAT score around 99.9 percentile for pursuing an MBA program. Check the table below for more information related to 120 marks in CAT percentile.
CAT Percentile | 100 Score in CAT |
99.9 | 115-119 |
99.5 | 99-101 |
99 | 85-87 |
98 | 74-77 |
95 | 64-66 |
90 | 50-52 |
85 | 40-43 |
Check Out CAT 2025 Score vs Percentile vs Colleges | CAT 2025 cut off IIM ABC | Expected IIM Ahmedabad Composite Score 2026
Here is the data by IIM King regarding 120 marks in CAT percentile for the candidates who checked the CAT 2025 answer key released on December 4, 2025 and want to know their percentile now. Check the table for more information.
CAT Percentile | CAT Score 2025 |
99.9 | 121 |
99.5 | 101.5 |
99 | 87.33 |
97 | 74.11 |
95 | 66.33 |
90 | 53.5 |
80 | 40 |
70 | 30 |
60 | 27 |
According to data from Careers360, candidates scoring 120 marks in the CAT 2025 exam will probably land with a CAT score in the range of 99.95 to 100 percentile. Check the table for more details.
CAT 2025 Percentile | CAT 2025 Slot 1 score | CAT 2025 Slot 2 Score | CAT 2025 Slot 2 Score |
99.95 | 115+ | 110+ | 112+ |
99.9 | 103-106 | 102-105 | 102-104 |
99.5 | 90-92 | 89-91 | 88-90 |
99 | 78-82 | 77-79 | 76-78 |
95 | 56-58 | 55-57 | 54-56 |
Data by Careers360
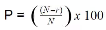
If you are planning to calculate your CAT percentile, you may be on the right page. As CAT percentile is calculated based on your section-wise CAT scaled scores and the overall CAT scaled score. The CAT percentile calculation method uses a simple percentile formula using the number of candidates in the exam and the rank of the candidates.
Step 1: First, calculate the number of candidates, let’s say N, who appear in the CAT Exam.
Step 2: Now allot the ranks, assume R, to all the candidates who appear for the exam based on their scaled score obtained in one of the CAT sections.
Step 3: P, that is, percentile, the image below shows how to calculate the CAT percentile using the rank based on the VARC section scaled score.

Step 4: As the last step, round off all the percentile scores to two decimal places. For example, 99.9876 rounded to the nearest 100.
The CAT 2025 normalisation process is done by IIM to eliminate any biases and unfair advantage. The CAT exam is held in three different slots, and there might be slight differences in exam papers across the three different slots. To overcome this, IIM relies on the CAT normalisation process. The scores after checking the candidate’s CAT response sheet are known as raw scores; these raw scores are then converted through the CAT normalisation process into scaled scores. In the end, scaled scores are used to calculate the CAT percentile.
Many MBA colleges, from prestigious IIMs to private B-schools and government colleges, give MBA admission based on the CAT score. Candidates with a scaled score of 120-130 marks in the CAT exam 2025 may expect MBA admission into the following top colleges, like IIM Ahmedabad, Faculty of Management Studies, etc.
Top Tier IIMs for MBA Program | Approx MBA Fees | Average Package |
Rs. 26.5 Lakhs | Rs. 35.22 LPA | |
Rs. 27 Lakhs | Rs. 34.23 LPA | |
IIM Bangalore | Rs. 26.5 Lakhs | Rs. 34.88 LPA |
Rs. 20.75 Lakhs | Rs. 32.3 LPA | |
Rs. 22.5 Lakhs | — | |
Rs. 21.15 Lakhs | Rs. 29.57 LPA |
Top Colleges for MBA Programs | Approx MBA Fees | Average Package |
Rs. 2.32 Lakhs | Rs. 34.1 LPA | |
Rs. 6-7 Lakhs | Rs. 26.12 LPA | |
Rs. 12 Lakhs | Rs. 25.82 LPA | |
Rs. 15 Lakhs | Rs. 28.01 LPA | |
Rs. 9.25 Lakhs | Rs. 22.75 LPA | |
Rs. 5.5 Lakhs | Rs. 28.03 LPA | |
Rs. 22.5 Lakhs | Rs. 33 LPA | |
Rs. 29.58 Lakhs | Rs. 25.6 LPA | |
Rs. 21.77 Lakhs | Rs. 27.3 LPA | |
Rs. 21.53 Lakhs | Rs. 16.25 LPA |
Frequently Asked Questions (FAQs)
Candidates scoring around 120 marks in the CAT exam 2025 can expect a CAT percentile of around 99.9 percentile. Here, admission into the IIM Ahmedabad, Faculty of Management Studies would be possible.
A candidate with a CAT scaled score of 130 marks may expect a CAT score of 99.9 to 100 percentile for admission into prestigious IIMs and top B-schools.
A scaled score in the range of 120-130 marks in the CAT exam is around 99.9 percentile. Candidates aiming for 99.9 percentile must score 120-130 marks in the CAT exam 2025.
On Question asked by student community
Hello,
For a raw score of 56 in CAT 2025 Slot 3, your expected overall percentile is likely to be in the range of the 90th-95th percentile. The exact percentile can vary slightly on the final normalization process and the process and performance of all test-takers. In this article you'll find more about the CAT result.
I hope it will clear your query!!
Hello,
With a projected CAT percentile of 87% but not clearing sectional cutoffs, your chances at top IIMs are limited because they require both overall percentile and sectional minimums. However, you still have a good shot at other reputed management institutes and non-IIM B-schools. Consider colleges like NMIMS, SPJIMR, IMT, TAPMI, Great Lakes, and other well-ranked private or state-level B-schools that accept CAT scores and weigh your profile holistically. Your academic record, BSc in Animation with 80%, and 5 years of work experience at Ubisoft India are strong points and may help in institutes that value work experience in their selection process. Also, explore institutes that accept XAT, MAT, or CMAT, where your profile can be competitive.
Hope this helps you.
Good Morning,
NIT Rourkela CAT cutoff range is between 70-85 percentiles for the general category. 70 is the minimum percentile needed to apply, and 85 is the highest percentile. However, the maximum percentile depends on the particular year competition. It can be changed.
Thank You.
If you filled the UGC NET form under EWS but you don’t have a valid EWS certificate, then forget using the EWS category. They won’t accept it. You’ll automatically be treated as General category during document verification.
And no, this won’t make your form “invalid” or “illegal.” It just means you won’t get the EWS benefit.
So yes — you can still go for General category posts and Professor recruitment. Just don’t try to submit a fake/invalid certificate; that will get you disqualified.
Hello,
If your CAT admit card shows your surname first followed by your first name as entered in the form, it is correct. You do not need to worry about this format as long as it matches the details you provided. Ensure all other information on the admit card is accurate and carry it to the exam along with the required identification documents.
Hope this helps you.
Ranked among top 10 B-Schools in India by multiple publications | Top Recruiters-Google, MicKinsey, Amazon, BCG & many more.
Globally Recognized by AACSB (US) & AMBA (UK) | 17.8 LPA Avg. CTC for PGPM 2025
IBSAT 2025-Your gateway to MBA/PGPM @ IBS Hyderabad and 8 other IBS campuses | Scholarships worth 10 CR
AACSB Accredited | Highest CTC: 22 LPA | Last Date: 31st December 2025
Among top 6% B-Schools globally to be accredited by AACSB | 7000+ Alumni Network
Top 30 Private B-Schools Nationally and Top 3 in Gujarat | Highest CTC- 20 LPA | Average CTC- 8.4 LPA | 40% Pre-Placement Offers | 670+ Recruiters