Great Lakes - PGDM & PGPM Admissions 2026
Globally Recognized by AACSB (US) & AMBA (UK) | 17.8 LPA Avg. CTC for PGPM 2025
CAT 2025 slot 3 score vs percentile analysis is out. Various CAT coaching experts have predicted and released the expected CAT slot 3 score vs percentile 2025. A candidate scoring close to 115-119+ marks can expect a 99.95+ percentile in the CAT 2025 exam as per the CAT 2025 slot 3 score vs percentile analysis and can get into premier management institutions like IIM Ahmedabad, FMS Delhi, etc. Likewise, as per the CAT 2025 slot 3 marks vs percentile prediction, candidates with a CAT 2025 score of 85-97+ marks can expect a CAT 2025 percentile of 99 and likely get MBA admission 2026-28 into colleges like IIM Trichy, IIM Kozhikode, MDI Gurgaon and much more.
LATEST Official CAT 2025 Answer Key RELEASED | CAT 2025 Answer Key Link
IIM Raipur, IIM Kashipur, IIM Ranchi, and IIM Tiruchirappalli have jointly launched a JAP admission process. In this joint admission process (JAP 2026), IIM Raipur will shortlist candidates and conduct the interview rounds on behalf of the other three institutions.
This Story also Contains
The CAT 2025 exam was concluded on November 30, 2025. Overall, the CAT 2025 exam slot 3 was easy to moderate, and candidates are likely to get a higher percentile with lower marks relative to the CAT slot 1 exam. Keep reading this article for more information related to the CAT 2025 slot 3 score vs percentile, CAT score vs percentile previous year trends, and much more.
Check Out CAT 2025 cut off IIM ABC | Expected IIM Ahmedabad Composite Score 2026
Candidates who have appeared for the CAT 2025 exam concluded on November 30, 2025, can check the expected CAT slot 3 score vs percentile in the tables below. We have collected the CAT slot 1 marks vs percentile 2025 predicted by renowned CAT coaching experts and academies here on this page for the ease of the candidates.
Here are the CAT scores vs percentile 2025 by IMS India. Candidates can check the CAT 2025 score vs percentile slot 3 analysis in the table below.
CAT Percentile vs Marks | CAT VARC Score vs Percentile | CAT DILR Score vs Percentile | CAT QA Score vs Percentile | CAT Score vs Percentile 2025 |
99.9 | 53 | 44 | 45 | 119 |
99.5 | 46 | 37 | 37 | 101 |
99 | 41 | 32 | 30 | 87 |
98 | 34 | 29 | 27 | 77 |
95 | 30 | 24 | 23 | 66 |
90 | 23 | 18 | 17 | 52 |
85 | 19 | 15 | 14 | 43 |
80 | 17 | 12 | 12 | 37 |
75 | 15 | 11 | 11 | 33 |
Candidates who appeared in the CAT 2025 exam can check the CAT score vs percentile slot 3 by IQuanta in the table below for targeting non-IIM colleges accepting 90, 95, and 99 percentiles.
CAT Percentile vs Marks | CAT VARC Score vs Percentile | CAT DILR Score vs Percentile | CAT QA Score vs Percentile | CAT Score vs Percentile 2025 |
99.9 | 54 | 42 | 38 | 115 |
99.5 | 46 | 36 | 33 | 97 |
99 | 41 | 30 | 28 | 85 |
98 | 35 | 27 | 26 | 72 |
95 | 30 | 22 | 20 | 65 |
90 | 25 | 17 | 16 | 52 |
85 | 21 | 12 | 12 | 42 |
80 | 18 | 10 | 11 | 38 |
75 | 15 | 8 | 9 | 30 |
Check the CAT score vs percentile slot 3 by Cracku for clarity over the CAT marks vs percentile prediction, and choose the college accordingly.
CAT Percentile vs Marks | CAT VARC Score vs Percentile | CAT DILR Score vs Percentile | CAT QA Score vs Percentile | CAT Score vs Percentile 2025 |
99.9 | 50-52 | 43-45 | 44-46 | 115-119 |
99.5 | 43-45 | 36-37 | 36-37 | 99-101 |
99 | 39-42 | 31-33 | 29-30 | 85-87 |
98 | 33-35 | 26-28 | 26-28 | 74-77 |
95 | 29-30 | 22-24 | 29-30 | 64-66 |
90 | 21-23 | 17-18 | 16-17 | 50-52 |
85 | 16-17 | 14-15 | 14-15 | 40-43 |
Career Launcher has released the expected CAT 2025 slot 3 score vs percentile analysis for the 2.58 Lakh students who attempted the CAT 2025 exam held on November 30, 2025.
CAT Percentile vs Marks | CAT VARC Score vs Percentile | CAT DILR Score vs Percentile | CAT QA Score vs Percentile | CAT Score vs Percentile 2025 |
99 | 42 | 27 | 28 | 83-84 |
95 | 33 | 20 | 22 | 67 |
90 | 25 | 16 | 20 | 53 |
85 | 23 | 13 | 14 | 45 |
80 | 21 | 12 | 13 | 40 |
CAT 2025 aspirants can check the CAT slot 1 marks vs percentile determined by the Careers360 expert in the table below.
CAT 2025 Percentile | CAT slot 3 score vs percentile |
99.95 | 112+ |
99.9 | 102-104 |
99.5 | 88-90 |
99 | 76-78 |
97 | 65-67 |
95 | 54-56 |
90 | 44-45 |
85 | 38-40 |
80 | 34-35 |
75 | 30-32 |
70 | 29-30 |
60 | 24-25 |
CAT 2025 Slot-wise Answer Key | Download Link |
CAT 2025 Slot 1 Answer Key | |
CAT 2025 Slot 2 Answer Key | |
CAT 2025 Slot 3 Answer Key | |
CAT 2025 Answer Key (All Slots) |
Candidates are advised to check the CAT sectional score vs percentile 2024 along with the CAT 2025 slot 3 score vs percentile, to draw a comparison and have more clarity. Refer to the table below for the CAT 2024 score vs percentile, and this data has been collated from the CAT 2024 score cards.
CAT Percentile vs Marks | CAT VARC Score vs Percentile | CAT DILR Score vs Percentile | CAT QA Score vs Percentile | CAT Score vs Percentile 2024 |
100 | 39.17 | 61.86 | 52.15 | 153.17 |
100 | 54.79 | 63.99 | 61.14 | 179.92 |
99.96 | 52.94 | 43.32 | 36.68 | 132.94 |
99.94 | 23.33 | 62.49 | 42.95 | 128.77 |
99.89 | 45.42 | 39.42 | 37.16 | 122 |
99.85 | 33.96 | 55.31 | 31.17 | 118.44 |
99.84 | 24.3 | 50.48 | 42.95 | 117.72 |
99.83 | 15.61 | 55.48 | 46.14 | 117.23 |
99.81 | 47.5 | 33.01 | 36.17 | 116.68 |
99.77 | 23.54 | 52.24 | 38.16 | 113.94 |
99.69 | — | 41.47 | 38.69 | 110.25 |
99.69 | 30.09 | 41.47 | 38.96 | 110.25 |
99.62 | — | — | — | 107.9 |
99.5 | — | — | — | 103.98 |
99.28 | 20.44 | 44.48 | 34.43 | 99.34 |
99.14 | 12.08 | 61.56 | 43.16 | 96.79 |
98.68 | 28.16 | 31.47 | 31.24 | 90.86 |
98.57 | — | — | — | 89.71 |
98.39 | — | — | — | 87.84 |
98.37 | — | 33.47 | 28.4 | 87.74 |
98.26 | — | — | — | 86.7 |
97.32 | 31.87 | 33.01 | 15.9 | 80.07 |
97.24 | 42.73 | 12.6 | 24.27 | 79.66 |
95 | — | — | — | 70 |
93 | — | — | — | 64 |
90 | — | — | — | 58 |
89.42 | 15.21 | 24.46 | 16.19 | 55.86 |
86 | — | — | — | 50.29 |
85 | — | — | — | 49 |
80 | — | — | — | 44 |
75 | — | — | — | 37 |
Here are the CAT sectional score vs percentile 2023 for your reference. Refer to the table below to know more about the CAT 2023 score vs percentile analysis.
CAT Percentile vs Marks | CAT VARC Score vs Percentile | CAT DILR Score vs Percentile | CAT QA Score vs Percentile | CAT Score vs Percentile 2023 |
99.5 | 42 | 30 | 30 | 86 |
99 | 36 | 25 | 25 | 74 |
95 | 30 | 20 | 22 | 52 |
90 | 24 | 14 | 13 | 42 |
80 | 20 | 11 | 9 | 35 |
70 | 18 | 9 | 7 | 30 |
The CAT 2025 percentile is calculated using the CAT sectional scaled scores and the overall scaled score. You can check your CAT 2025 percentile through the CAT 2025 scorecard, as it features the CAT section-wise scaled scores, overall scaled scores, and corresponding percentile.
To know more about how the CAT 2025 percentile is calculated. Follow the step-by-step instructions in the following points below:
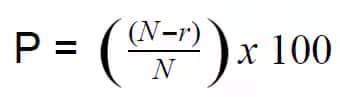
Step 1: Let’s take the total number of test takers who appeared in the CAT 2025 exam across all slots as (N).
Step 2: Now, arrange all candidates based on their QA scaled scores and give them a rank (r). If two candidates have the same score, then their rank will also be the same.
Step 3: Using the rank (r), calculate the CAT percentile for the QA section using the following formula mentioned below.
Step 4: The calculated CAT 2025 percentile (P) is then rounded off to two decimal places. For instance, any score equal to or above 94.95 is rounded to 95.

The same process is followed for the CAT overall scores and sectional scaled scores to calculate the CAT 2025 percentile. However, candidates can also use the CAT percentile predictor to predict their CAT percentile precisely.
The following list mentions the list of top MBA colleges in India to target based on the CAT percentile, which candidates will get based on their CAT exam.
CAT 2025 Slot 3 Score vs Percentile: Top MBA Colleges through CAT with 99.9-100 Percentile
IIM Kozhikode
FMS Delhi
IIM Kozhikode (some programmes)
IIM Indore
IIM Shillong
SPJIMR Mumbai (Profile-based)
IIM Sirmaur
IIM Bodh Gaya
GIM Goa
Welingkar Mumbai
LBSIM Delhi
BIM Trichy
LIBA Chennai
IFMR GSB Sri City
Welingkar Bangalore & Mumbai
BITS Pilani (MBA)
IMI Kolkata/IMI Bhubaneswar
XIME Bangalore/Chennai/Kochi
Amrita School of Business
VIT Business School
UPES Dehradun
JAGSOM Bangalore
BIMM Pune
Frequently Asked Questions (FAQs)
Candidates will have to score around 54-58 marks for 95 percentile.
Candidates scoring 70 marks in the CAT 2025 exam concluded on November 30, 2025, can expect a 97-98 percentile for MBA admission 2026-28.
Yes, you can get 99 percentile 76-78 marks, and based on this, 200 marks are more than enough for scoring a 99 percentile in the CAT 2025 exam.
Candidates who appeared for the CAT 2025 exam can expect 102-104 marks for 99.9 percentile and can get management institutions like IIM Ahmedabad and IIM Bangalore, etc.
On Question asked by student community
Hello,
For a raw score of 56 in CAT 2025 Slot 3, your expected overall percentile is likely to be in the range of the 90th-95th percentile. The exact percentile can vary slightly on the final normalization process and the process and performance of all test-takers. In this article you'll find more about the CAT result.
I hope it will clear your query!!
Hello,
With a projected CAT percentile of 87% but not clearing sectional cutoffs, your chances at top IIMs are limited because they require both overall percentile and sectional minimums. However, you still have a good shot at other reputed management institutes and non-IIM B-schools. Consider colleges like NMIMS, SPJIMR, IMT, TAPMI, Great Lakes, and other well-ranked private or state-level B-schools that accept CAT scores and weigh your profile holistically. Your academic record, BSc in Animation with 80%, and 5 years of work experience at Ubisoft India are strong points and may help in institutes that value work experience in their selection process. Also, explore institutes that accept XAT, MAT, or CMAT, where your profile can be competitive.
Hope this helps you.
Good Morning,
NIT Rourkela CAT cutoff range is between 70-85 percentiles for the general category. 70 is the minimum percentile needed to apply, and 85 is the highest percentile. However, the maximum percentile depends on the particular year competition. It can be changed.
Thank You.
If you filled the UGC NET form under EWS but you don’t have a valid EWS certificate, then forget using the EWS category. They won’t accept it. You’ll automatically be treated as General category during document verification.
And no, this won’t make your form “invalid” or “illegal.” It just means you won’t get the EWS benefit.
So yes — you can still go for General category posts and Professor recruitment. Just don’t try to submit a fake/invalid certificate; that will get you disqualified.
Hello,
If your CAT admit card shows your surname first followed by your first name as entered in the form, it is correct. You do not need to worry about this format as long as it matches the details you provided. Ensure all other information on the admit card is accurate and carry it to the exam along with the required identification documents.
Hope this helps you.
Ranked among top 10 B-Schools in India by multiple publications | Top Recruiters-Google, MicKinsey, Amazon, BCG & many more.
Globally Recognized by AACSB (US) & AMBA (UK) | 17.8 LPA Avg. CTC for PGPM 2025
IBSAT 2025-Your gateway to MBA/PGPM @ IBS Hyderabad and 8 other IBS campuses | Scholarships worth 10 CR
AACSB Accredited | Highest CTC: 22 LPA | Last Date: 31st December 2025
Among top 6% B-Schools globally to be accredited by AACSB | 7000+ Alumni Network
Top 30 Private B-Schools Nationally and Top 3 in Gujarat | Highest CTC- 20 LPA | Average CTC- 8.4 LPA | 40% Pre-Placement Offers | 670+ Recruiters