Great Lakes - PGDM & PGPM Admissions 2026
Globally Recognized by AACSB (US) & AMBA (UK) | 17.8 LPA Avg. CTC for PGPM 2025
कैट 2025 स्लॉट 3 स्कोर बनाम परसेंटाइल- कैट 2025 स्लॉट 3 स्कोर बनाम परसेंटाइल एनालिसिस आ गया है। विभिन्न कैट कोचिंग एक्सपर्ट्स ने कैट 2025 का विश्लेषण करके कैट स्लॉट 3 का अनुमानित कैट स्कोर बनाम परसेंटाइल जारी कर दिया है। कैट 2025 स्लॉट 3 स्कोर बनाम परसेंटाइल एनालिसिस के अनुसार, 112+ के लगभग मार्क्स लाने वाले उम्मीदवारों को कैट 2025 एग्जाम में 99.95 परसेंटाइल मिल सकता है और उन्हें आईआईएम अहमदाबाद, एफ़एमएस दिल्ली आदि जैसे बड़े मैनेजमेंट इंस्टिट्यूशन में एडमिशन मिल सकता है। इसी तरह, कैट 2025 स्लॉट 3 मार्क्स बनाम परसेंटाइल प्रेडिक्शन के अनुसार, जिन कैंडिडेट्स का कैट 2025 स्कोर 76-78 मार्क्स है, वे कैट 2025 परसेंटाइल 99 की उम्मीद कर सकते हैं और उन्हें आईआईएम त्रिची, आईआईएम कोझिकोड, एमडीआई गुड़गांव जैसे कॉलेजों में 2026-28 में एमबीए एडमिशन मिलने की संभावना है।
लेटेस्ट: कैट आधिकारिक आंसर की 4 दिसंबर को जारी हुई।
ये भी पढ़ें: कैट 2025 स्लॉट 1 स्कोर बनाम परसेंटाइल | कैट 2025 स्लॉट 2 स्कोर बनाम परसेंटाइल
कई उम्मीदवारों को रॉ स्कोर, स्केल्ड स्कोर और पर्सेंटाइल में अंतर समझने में परेशानी होती है। CAT परीक्षा कई सत्रों में आयोजित की जाती है, इसलिए IIM सभी सत्रों में निष्पक्षता सुनिश्चित करने के लिए नॉर्मलाइजेशन प्रक्रिया का उपयोग करते हैं। आपके फाइनल कैट स्कोरकार्ड में स्केल्ड स्कोर और पर्सेंटाइल (कुल + सेक्शन-वार) दोनों शामिल होते हैं।
This Story also Contains
कैट 2025 परीक्षा 30 नवंबर, 2025 को आयोजित की गई। कुल मिलाकर, कैट 2025 एग्जाम स्लॉट 3 आसान से मध्यम स्तर का था, और कैंडिडेट्स को कैट स्लॉट 1 एग्जाम में कम मार्क्स के साथ ज़्यादा परसेंटाइल मिलने की संभावना है। कैट 2025 स्लॉट 3 स्कोर बनाम परसेंटाइल, कैट स्कोर बनाम परसेंटाइल पिछले साल के ट्रेंड्स, आदि से जुड़ी अधिक जानकारी के लिए यह आर्टिकल पढ़ें।
जो उम्मीदवार 30 नवंबर, 2025 को आयोजित की गई कैट 2025 परीक्षा में शामिल हुए हैं, वे नीचे दी गई टेबल में संभावित कैट स्लॉट 3 स्कोर बनाम परसेंटाइल देख सकते हैं।
कैट 2025 परसेंटाइल | कैट स्लॉट 3 स्कोर बनाम परसेंटाइल |
99.95 | 112+ |
99.9 | 102-104 |
99.5 | 88-90 |
99 | 76-78 |
97 | 65-67 |
95 | 54-56 |
90 | 44-45 |
85 | 38-40 |
80 | 34-35 |
75 | 30-32 |
70 | 29-30 |
60 | 24-25 |
Careers360 डेटा
आईएमएस इंडिया के कैट स्कोर बनाम परसेंटाइल 2025 नीचे तालिका में दिया गया हैं। उम्मीदवार नीचे दी गई तालिका में कैट 2025 स्कोर बनाम परसेंटाइल स्लॉट 3 एनालिसिस देख सकते हैं।
कैट परसेंटाइल बनाम मार्क्स | कैट वीएआरसी स्कोर बनाम परसेंटाइल | कैट डीआईएलआर स्कोर बनाम परसेंटाइल | कैट क्यूए स्कोर बनाम परसेंटाइल | कैट स्कोर बनाम परसेंटाइल 2025 |
99.9 | 53 | 44 | 45 | 119 |
99.5 | 46 | 37 | 37 | 101 |
99 | 41 | 32 | 30 | 87 |
98 | 34 | 29 | 27 | 77 |
95 | 30 | 24 | 23 | 66 |
90 | 23 | 18 | 17 | 52 |
85 | 19 | 15 | 14 | 43 |
80 | 17 | 12 | 12 | 37 |
75 | 15 | 11 | 11 | 33 |
जो उम्मीदवार कैट 2025 एग्जाम में शामिल हुए थे, वे नीचे दिए गए टेबल में IQuanta का कैट स्कोर बनाम परसेंटाइल स्लॉट 3 देख सकते हैं। यह उन नॉन-आईआईएम कॉलेजों के लिए है जो 90, 95, और 99 पर्सेंटाइल लेते हैं।
कैट परसेंटाइल बनाम मार्क्स | कैट वीएआरसी स्कोर बनाम परसेंटाइल | कैट डीआईएलआर स्कोर बनाम परसेंटाइल | कैट क्यूए स्कोर बनाम परसेंटाइल | कैट स्कोर बनाम परसेंटाइल 2025 |
99.9 | 54 | 42 | 38 | 115 |
99.5 | 46 | 36 | 33 | 97 |
99 | 41 | 30 | 28 | 85 |
98 | 35 | 27 | 26 | 72 |
95 | 30 | 22 | 20 | 65 |
90 | 25 | 17 | 16 | 52 |
85 | 21 | 12 | 12 | 42 |
80 | 18 | 10 | 11 | 38 |
75 | 15 | 8 | 9 | 30 |
स्लॉट 1,2 और 3 के लिए नीचे दिया गया कैट 2025 स्कोर बनाम परसेंटाइल देखें।
कैट 2025 स्लॉट 1 स्कोर बनाम परसेंटाइल | |
कैट 2025 स्लॉट 2 स्कोर बनाम परसेंटाइल | |
कैट 2025 स्लॉट 3 स्कोर बनाम परसेंटाइल |
कैट मार्क्स बनाम परसेंटाइल प्रेडिक्शन को क्लियर करने के लिए Cracku का कैट स्कोर बनाम परसेंटाइल स्लॉट 3 चेक करें, और उसके अनुसार कॉलेज चुनें।
कैट परसेंटाइल बनाम मार्क्स | कैट वीएआरसी स्कोर बनाम परसेंटाइल | कैट डीआईएलआर स्कोर बनाम परसेंटाइल | कैट क्यूए स्कोर बनाम परसेंटाइल | कैट स्कोर बनाम परसेंटाइल 2025 |
99.9 | 50-52 | 43-45 | 44-46 | 115-119 |
99.5 | 43-45 | 36-37 | 36-37 | 99-101 |
99 | 39-42 | 31-33 | 29-30 | 85-87 |
98 | 33-35 | 26-28 | 26-28 | 74-77 |
95 | 29-30 | 22-24 | 29-30 | 64-66 |
90 | 21-23 | 17-18 | 16-17 | 50-52 |
85 | 16-17 | 14-15 | 14-15 | 40-43 |
करियर लॉन्चर ने 30 नवंबर, 2025 को हुई कैट 2025 परीक्षा देने वाले 2.58 लाख स्टूडेंट्स के लिए अनुमानित कैट 2025 स्लॉट 3 स्कोर बनाम परसेंटाइल एनालिसिस जारी किया है।
कैट परसेंटाइल बनाम मार्क्स | कैट वीएआरसी स्कोर बनाम परसेंटाइल | कैट डीआईएलआर स्कोर बनाम परसेंटाइल | कैट क्यूए स्कोर बनाम परसेंटाइल | कैट स्कोर बनाम परसेंटाइल 2025 |
99 | 42 | 27 | 28 | 83-84 |
95 | 33 | 20 | 22 | 67 |
90 | 25 | 16 | 20 | 53 |
85 | 23 | 13 | 14 | 45 |
80 | 21 | 12 | 13 | 40 |
कैंडिडेट्स को सलाह दी जाती है कि वे बेहतर क्लैरिटी के लिए कैट सेक्शनल स्कोर बनाम पर्सेंटाइल 2024 के साथ कैट स्लॉट 3 स्कोर बनाम पर्सेंटाइल भी चेक कर लें। कैट 2024 स्कोर बनाम पर्सेंटाइल के लिए नीचे दी गई टेबल देखें।
कैट परसेंटाइल बनाम मार्क्स | कैट वीएआरसी स्कोर बनाम परसेंटाइल | कैट डीआईएलआर स्कोर बनाम परसेंटाइल | कैट क्यूए स्कोर बनाम परसेंटाइल | कैट स्कोर बनाम परसेंटाइल 2024 |
100 | 39.17 | 61.86 | 52.15 | 153.17 |
100 | 54.79 | 63.99 | 61.14 | 179.92 |
99.96 | 52.94 | 43.32 | 36.68 | 132.94 |
99.94 | 23.33 | 62.49 | 42.95 | 128.77 |
99.89 | 45.42 | 39.42 | 37.16 | 122 |
99.85 | 33.96 | 55.31 | 31.17 | 118.44 |
99.84 | 24.3 | 50.48 | 42.95 | 117.72 |
99.83 | 15.61 | 55.48 | 46.14 | 117.23 |
99.81 | 47.5 | 33.01 | 36.17 | 116.68 |
99.77 | 23.54 | 52.24 | 38.16 | 113.94 |
99.69 | — | 41.47 | 38.69 | 110.25 |
99.69 | 30.09 | 41.47 | 38.96 | 110.25 |
99.62 | — | — | — | 107.9 |
99.5 | — | — | — | 103.98 |
99.28 | 20.44 | 44.48 | 34.43 | 99.34 |
99.14 | 12.08 | 61.56 | 43.16 | 96.79 |
98.68 | 28.16 | 31.47 | 31.24 | 90.86 |
98.57 | — | — | — | 89.71 |
98.39 | — | — | — | 87.84 |
98.37 | — | 33.47 | 28.4 | 87.74 |
98.26 | — | — | — | 86.7 |
97.32 | 31.87 | 33.01 | 15.9 | 80.07 |
97.24 | 42.73 | 12.6 | 24.27 | 79.66 |
95 | — | — | — | 70 |
93 | — | — | — | 64 |
90 | — | — | — | 58 |
89.42 | 15.21 | 24.46 | 16.19 | 55.86 |
86 | — | — | — | 50.29 |
85 | — | — | — | 49 |
80 | — | — | — | 44 |
75 | — | — | — | 37 |
आपके संदर्भ के लिए कैट सेक्शनल स्कोर बनाम परसेंटाइल 2023 यहां दिया गया है। कैट 2023 स्कोर बनाम परसेंटाइल एनालिसिस के बारे में ज़्यादा जानने के लिए नीचे दी गई टेबल देखें।
कैट परसेंटाइल बनाम मार्क्स | कैट वीएआरसी स्कोर बनाम परसेंटाइल | कैट डीआईएलआर स्कोर बनाम परसेंटाइल | कैट क्यूए स्कोर बनाम परसेंटाइल | कैट स्कोर बनाम परसेंटाइल 2023 |
99.5 | 42 | 30 | 30 | 86 |
99 | 36 | 25 | 25 | 74 |
95 | 30 | 20 | 22 | 52 |
90 | 24 | 14 | 13 | 42 |
80 | 20 | 11 | 9 | 35 |
70 | 18 | 9 | 7 | 30 |
कैट 2025 परसेंटाइल की गणना कैट सेक्शनल स्केल्ड स्कोर और ओवरऑल स्केल्ड स्कोर का उपयोग करके की जाती है। आप कैट 2025 स्कोरकार्ड के माध्यम से अपना कैट 2025 परसेंटाइल देख सकते हैं, क्योंकि इसमें कैट सेक्शन-वाइज़ स्केल्ड स्कोर, ओवरऑल स्केल्ड स्कोर और उससे जुड़ा पर्सेंटाइल होता है।
कैट 2025 परसेंटाइल कैसे कैलकुलेट किया जाता है, इसके बारे में और जानने के लिए नीचे दिए गए स्टेप-बाय-स्टेप निर्देशों को फ़ॉलो करें:
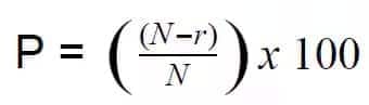
चरण 1: आइए सभी स्लॉट में कैट 2025 परीक्षा में उपस्थित होने वाले कुल परीक्षार्थियों की संख्या (N) लें।
चरण 2: अब, सभी कैंडिडेट्स को उनके क्यूए स्केल्ड स्कोर के आधार पर अरेंज करें और उन्हें एक रैंक (r) दें। यदि दो कैंडिडेट्स का स्कोर एक जैसा है, तो उनकी रैंक भी एक जैसी होगी।
चरण 3: रैंक (r) का इस्तेमाल करके, नीचे दिए गए फ़ॉर्मूले का इस्तेमाल करके क्यूए सेक्शन के लिए कैट परसेंटाइल कैलकुलेट करें।
चरण 4: कैलकुलेटेड कैट 2025 परसेंटाइल (P) को फिर दो डेसिमल प्लेस तक राउंड ऑफ किया जाता है। उदाहरण के लिए, 94.95 के बराबर या उससे ज़्यादा का कोई भी स्कोर 95 तक राउंड ऑफ किया जाता है।

कैट 2025 परसेंटाइल कैलकुलेट करने के लिए कैट ओवरऑल स्कोर और सेक्शनल स्केल्ड स्कोर के लिए भी यही प्रोसेस फॉलो किया जाता है। हालांकि, कैंडिडेट अपने कैट परसेंटाइल का सही अनुमान लगाने के लिए कैट परसेंटाइल प्रेडिक्टर का भी इस्तेमाल कर सकते हैं।
नीचे दी गई लिस्ट में कैट परसेंटाइल के आधार पर भारत के टॉप एमबीए कॉलेजों की लिस्ट दी गई है, जो कैंडिडेट्स को उनके कैट एग्जाम के आधार पर मिलेंगे।
कैट 2025 स्लॉट 3 स्कोर बनाम परसेंटाइल: 99.9-100 परसेंटाइल के साथ कैट के माध्यम से टॉप एमबीए कॉलेज कैट 2025 स्लॉट
आईआईएम कोझीकोड
एफएमएस दिल्ली
कैट 2025 स्लॉट 3 स्कोर बनाम पर्सेंटाइल: 99-99.5 पर्सेंटाइल के साथ कैट के ज़रिए टॉप एमबीए कॉलेज
आईआईएम कोझिकोड (कुछ प्रोग्राम)
आईआईएम इंदौर
आईआईएम शिलांग
कैट 2025 स्लॉट 3 स्कोर बनाम पर्सेंटाइल: कैट के ज़रिए 95-98 पर्सेंटाइल वाले टॉप एमबीए कॉलेज
कैट 2025 स्लॉट 3 स्कोर बनाम परसेंटाइल: कैट के ज़रिए 90-95 पर्सेंटाइल वाले टॉप एमबीए कॉलेज
आईआईएम सिरमौर
आईआईएम बोधगया
जीआईएम गोवा
वेलिंगकर मुंबई
कैट 2025 स्लॉट 3 स्कोर बनाम परसेंटाइल: 85-90 पर्सेंटाइल के साथ कैट के ज़रिए टॉप एमबीए कॉलेज
एलबीएसआईएम दिल्ली
बीआईएम त्रिची
एलआईबीए चेन्नई
आईएफएमआर जीएसबी श्री सिटी
वेलिंगकर बैंगलोर और मुंबई
कैट 2025 स्लॉट 3 स्कोर बनाम परसेंटाइल: 80-85 परसेंटाइल के साथ कैट के ज़रिए टॉप एमबीए कॉलेज
बिट्स पिलानी (एमबीए)
आईएमआई कोलकाता/आईएमआई भुवनेश्वर
XIME बैंगलोर/चेन्नई/कोच्चि
आईआईआईटी में पीजीडीआईटीएम
कैट 2025 स्लॉट 3 स्कोर बनाम पर्सेंटाइल: कैट के ज़रिए 70-80 परसेंटाइल वाले टॉप एमबीए कॉलेज
अमृता स्कूल ऑफ बिजनेस
वीआईटी बिजनेस स्कूल
यूपीईएस देहरादून
जेएजीएसओएम बैंगलोर
बीआईएमएम पुणे
Frequently Asked Questions (FAQs)
हाँ, आप 76-78 मार्क्स पर 99 परसेंटाइल पा सकते हैं, और इस आधार पर, कैट 2025 एग्जाम में 99 परसेंटाइल स्कोर करने के लिए 200 मार्क्स काफी हैं।.
कैट परीक्षा 30 नवंबर, 2025 को आयोजित की गई। कैट 2025 परीक्षा में 70 मार्क्स लाने वाले कैंडिडेट्स को एमबीए एडमिशन 2026-28 के लिए 97-98 परसेंटाइल मिलने की उम्मीद है।
जो कैंडिडेट कैट 2025 एग्जाम में बैठे थे, वे 102-104 मार्क्स यानी 99.9 परसेंटाइल की उम्मीद कर सकते हैं और उन्हें आईआईएम अहमदाबाद और आईआईएम बैंगलोर जैसे मैनेजमेंट इंस्टिट्यूशन में एडमिशन मिल सकता है।
On Question asked by student community
Hello,
For a raw score of 56 in CAT 2025 Slot 3, your expected overall percentile is likely to be in the range of the 90th-95th percentile. The exact percentile can vary slightly on the final normalization process and the process and performance of all test-takers. In this article you'll find more about the CAT result.
I hope it will clear your query!!
Hello,
With a projected CAT percentile of 87% but not clearing sectional cutoffs, your chances at top IIMs are limited because they require both overall percentile and sectional minimums. However, you still have a good shot at other reputed management institutes and non-IIM B-schools. Consider colleges like NMIMS, SPJIMR, IMT, TAPMI, Great Lakes, and other well-ranked private or state-level B-schools that accept CAT scores and weigh your profile holistically. Your academic record, BSc in Animation with 80%, and 5 years of work experience at Ubisoft India are strong points and may help in institutes that value work experience in their selection process. Also, explore institutes that accept XAT, MAT, or CMAT, where your profile can be competitive.
Hope this helps you.
Good Morning,
NIT Rourkela CAT cutoff range is between 70-85 percentiles for the general category. 70 is the minimum percentile needed to apply, and 85 is the highest percentile. However, the maximum percentile depends on the particular year competition. It can be changed.
Thank You.
If you filled the UGC NET form under EWS but you don’t have a valid EWS certificate, then forget using the EWS category. They won’t accept it. You’ll automatically be treated as General category during document verification.
And no, this won’t make your form “invalid” or “illegal.” It just means you won’t get the EWS benefit.
So yes — you can still go for General category posts and Professor recruitment. Just don’t try to submit a fake/invalid certificate; that will get you disqualified.
Hello,
If your CAT admit card shows your surname first followed by your first name as entered in the form, it is correct. You do not need to worry about this format as long as it matches the details you provided. Ensure all other information on the admit card is accurate and carry it to the exam along with the required identification documents.
Hope this helps you.
Ranked among top 10 B-Schools in India by multiple publications | Top Recruiters-Google, MicKinsey, Amazon, BCG & many more.
Globally Recognized by AACSB (US) & AMBA (UK) | 17.8 LPA Avg. CTC for PGPM 2025
IBSAT 2025-Your gateway to MBA/PGPM @ IBS Hyderabad and 8 other IBS campuses | Scholarships worth 10 CR
AACSB Accredited | Highest CTC: 22 LPA | Last Date: 31st December 2025
Among top 6% B-Schools globally to be accredited by AACSB | 7000+ Alumni Network
Top 30 Private B-Schools Nationally and Top 3 in Gujarat | Highest CTC- 20 LPA | Average CTC- 8.4 LPA | 40% Pre-Placement Offers | 670+ Recruiters