Great Lakes - PGDM & PGPM Admissions 2026
Globally Recognized by AACSB (US) & AMBA (UK) | 17.8 LPA Avg. CTC for PGPM 2025
As the CAT 2025 result date is expected on December 19, 2025 , candidates are wondering about how to Calculate CAT 2025 Percentile. CAT 2025 percentile calculation is an important aspect for the management aspirants as top CAT-accepting B-schools 2025 will admit students based on the CAT 2025 percentile. The CAT 2025 percentile calculation is based on the CAT 2025 rank of any candidate and the total number of candidates appeared for the CAT 2025. To calculate the CAT 2025 percentile, one needs to consider the CAT 2025 rank of any candidate and the total number of candidates appearing for the CAT 2025. It is only based on the CAT percentile that the 2025 management aspirants will get the General candidates having a CAT 2025 percentile of more than 99 percentile are expected to get into IIMs like IIM Ahmedabad, IIM Kozhikode, IIM Bangalore, IIM Lucknow, etc. This year, CAT 2025 took place on November 30, 2025. Explore the article to learn more about the How to CAT 2025 percentile calculation.
Candidates who qualify for the CAT 2025 will have to appear in three stages of the selection process, including a written ability test (WAT), a personal interview (PI) round, and a group discussion (GD).
This Story also Contains
In comparison with the CAT 2025 score, the CAT 2025 percentile is a comparative score that determines the CAT percentile calculation is an integral part of the CAT 2025. To calculate the CAT 2025 percentile, anyone needs two major things -
CAT 2025 rank
Total CAT 2025 participants
The CAT 2025 percentile is a relative score that indicates candidates' CAT 2025 performance. The CAT exam percentile is a measure of categorising a candidate based on the rest of the CAT takers below. If a candidate secures the 99 percentile, that means his or her performance is better than the 99 percentile of all the CAT test takers that year.
Read More: How much CAT 2025 score is needed for IIM
Candidates willing to calculate their CAT percentile 2025 need to go through the following steps, as we have charted out the way to calculate the percentile for CAT 2025.
Step 1: The total number of candidates who appeared
First of all, note down the total number of candidates (say, N) who appeared for the paper both in the morning and afternoon sessions in CAT 2025
Step 2: Assigning rank based on the scaled score
After the CAT normalisation process 2025, a scaled score is obtained for each section and the overall scaled score. Based on the scaled score, you will be assigned a rank (r). If two or more candidates have attained the same marks in any section, they will be assigned the same rank for that section.
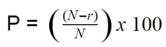
Step 3: Formula to calculate percentile for CAT 2025
The formula to calculate percentile for CAT 2025 is given below.

where
P = Percentile of a candidate
N = Total number of candidates
r = Rank assigned to a candidate
Step 4: CAT 2025 percentile Rounded off
The Cat 2025 percentile would be rounded off up to two decimal points. A similar strategy is followed for calculating the CAT 2025 percentile score for the other two sections, i.e., DILR and VARC in CAT 2025.
Learn More: CAT Total Marks for 2025
The CAT percentile calculator 2025 is used to calculate the CAT 2025 percentile based on their CAT 2025 score.
CAT Percentile 2025 = {(Total Number of CAT 2025 candidates - CAT 2025 rank of a candidate)/Total Number of CAT 2025 candidates}*100
For example, If there are a total of 3,00,000 students who appeared in the CAT exam. Now that you scored a rank of 4000, your CAT percentile will be:
CAT 2025 Percentile = {(300000-4000)/300000}*100 = 98.66
The first step after the CAT 2025 exam is CAT normalization. CAT 2025 score normalistaion is necessary to avoid any incongruity. The parameters on which CAT normalisation is done are location, sessions, and the difficulty level of different exam papers.
All these criteria are equalised while scaling the raw score attained by the student. Considering all these criteria, a normalised score is attained, which is then used for the CAT MBA percentile calculator. The CAT-scaled scores for each of the three sections and the total scores, along with the percentile, will be published on the scorecard.
Check the expected CAT score vs percentile 2025 based on the CAT score in the table below:
CAT 2025 Percentile | Overall CAT 2025 Score |
99+ | 98-102 |
98+ | 90-93 |
95+ | 80-82 |
90+ | 72-75 |
85+ | 59-61 |
80+ | 46-48 |
Frequently Asked Questions (FAQs)
According to the trends of the last years, the total marks for CAT 2025 would of 204 marks.
Looking at the trends of the past years, the IIM Ranchi CAT cutoff 2025 would be around 95 percentile for the general candidates.
No, getting 95 percentile in CAT 2025 is not easy.
The CAT 2025 Cutoff percentile is the minimum marks needed to get into any of the IIMs 2026.
The CAT percentile is calculated based on the CAT 29025 rank of a candidate as well as the total number of candidates applied for the CAT 2025. CAT Percentile 2025 = {(Total Number of CAT 2025 candidates - CAT 2025 rank of a candidate)/Total Number of CAT 2025 candidates}*100
On Question asked by student community
Hello,
For a raw score of 56 in CAT 2025 Slot 3, your expected overall percentile is likely to be in the range of the 90th-95th percentile. The exact percentile can vary slightly on the final normalization process and the process and performance of all test-takers. In this article you'll find more about the CAT result.
I hope it will clear your query!!
Hello,
With a projected CAT percentile of 87% but not clearing sectional cutoffs, your chances at top IIMs are limited because they require both overall percentile and sectional minimums. However, you still have a good shot at other reputed management institutes and non-IIM B-schools. Consider colleges like NMIMS, SPJIMR, IMT, TAPMI, Great Lakes, and other well-ranked private or state-level B-schools that accept CAT scores and weigh your profile holistically. Your academic record, BSc in Animation with 80%, and 5 years of work experience at Ubisoft India are strong points and may help in institutes that value work experience in their selection process. Also, explore institutes that accept XAT, MAT, or CMAT, where your profile can be competitive.
Hope this helps you.
Good Morning,
NIT Rourkela CAT cutoff range is between 70-85 percentiles for the general category. 70 is the minimum percentile needed to apply, and 85 is the highest percentile. However, the maximum percentile depends on the particular year competition. It can be changed.
Thank You.
If you filled the UGC NET form under EWS but you don’t have a valid EWS certificate, then forget using the EWS category. They won’t accept it. You’ll automatically be treated as General category during document verification.
And no, this won’t make your form “invalid” or “illegal.” It just means you won’t get the EWS benefit.
So yes — you can still go for General category posts and Professor recruitment. Just don’t try to submit a fake/invalid certificate; that will get you disqualified.
Hello,
If your CAT admit card shows your surname first followed by your first name as entered in the form, it is correct. You do not need to worry about this format as long as it matches the details you provided. Ensure all other information on the admit card is accurate and carry it to the exam along with the required identification documents.
Hope this helps you.
Ranked among top 10 B-Schools in India by multiple publications | Top Recruiters-Google, MicKinsey, Amazon, BCG & many more.
Globally Recognized by AACSB (US) & AMBA (UK) | 17.8 LPA Avg. CTC for PGPM 2025
Top 30 Private B-Schools Nationally and Top 3 in Gujarat | Highest CTC- 20 LPA | Average CTC- 8.4 LPA | 40% Pre-Placement Offers | 670+ Recruiters
Application Deadline 15th Jan’26 | UGC Approved Programs | Near 100% Placement Record | Up to 100% Scholarships | Highest CTC 21.32 LPA
Highest CTC 51.38 LPA | Median CTC 10.32 LPA | Top 25% Average CTC 14.32 LPA
EFMD Accredited | AACSB & Business Graduates Association Member | Highest CTC 19 LPA | Application Closing on 7th Jan'26