Great Lakes - PGDM & PGPM Admissions 2026
Globally Recognized by AACSB (US) & AMBA (UK) | 17.8 LPA Avg. CTC for PGPM 2025
कैट रिजल्ट 2025 डेट - कैट 2025 रिजल्ट की तारीख के बारे में सभी अटकलों के बीच, यह साफ़ होता जा रहा है कि आईआईएम कैट रिजल्ट 2025 का लिंक 19 दिसंबर, 2025 को iimcat.ac.in पर जारी किया जाएगा। कैट 2025 का रिजल्ट 19 दिसंबर, 2025 को आने के कई कारण हैं। सबसे पहले, पिछले साल की तरह, कैट 2025 की फाइनल आंसर की 17 दिसंबर 2025 को जारी की गई। पिछले साल, आईआईएम कैट रिजल्ट 19 दिसंबर को जारी हुआ था, जो कैट 2025 की फाइनल आंसर की जारी होने के दो दिन बाद था। यदि इस साल भी यही ट्रेंड फॉलो किया जाता है, तो इस बात की बहुत ज़्यादा संभावना है कि कैट 2025 का रिज़ल्ट 19 दिसंबर 2025 को जारी होगा। इसके अलावा, कैट 2025 के रिजल्ट का समय रात 8.00 बजे के आसपास होने की संभावना है। एक बार जब आईआईएम कैट 2025 रिजल्ट लिंक जारी होगा, तो उम्मीदवार कैट 2025 लॉगिन के माध्यम से ऑफिशियल वेबसाइट-iimcat.ac.in से आईआईएम कैट रिजल्ट 2025 पीडीएफ़ डाउनलोड कर सकते हैं।
कई उम्मीदवारों को रॉ स्कोर, स्केल्ड स्कोर और पर्सेंटाइल में अंतर समझने में परेशानी होती है। CAT परीक्षा कई सत्रों में आयोजित की जाती है, इसलिए IIM सभी सत्रों में निष्पक्षता सुनिश्चित करने के लिए नॉर्मलाइजेशन प्रक्रिया का उपयोग करते हैं। आपके फाइनल कैट स्कोरकार्ड में स्केल्ड स्कोर और पर्सेंटाइल (कुल + सेक्शन-वार) दोनों शामिल होते हैं।
This Story also Contains
जो लोग आईआईएम कैट 2025 रिजल्ट, आईआईएम कैट रिजल्ट डेट 2025, कैट 2025 रिजल्ट लिंक, कैट 2025 रिजल्ट पीडीएफ़ डाउनलोड के बारे में सोच रहे हैं, वे कैट 2025 रिजल्ट लाइव अपडेट को फॉलो कर सकते हैं:
December 19, 3.03 PM I कैट 2025 रिजल्ट : कैट 2025 स्कोरकार्ड डाउनलोड करने के चरण
कैट 2025 स्कोरकार्ड 19 दिसंबर, 2025 (संभावित) को जब जारी हो जाएगा, तो उम्मीदवारों को कैट 2025 स्कोरकार्ड पीडीएफ़ डाउनलोड करने के लिए आधिकारिक वेबसाइट- iimcat.ac.in पर जाना होगा। कैट 2025 स्कोरकार्ड डाउनलोड करने के चरण यहाँ दिये गए है -
सबसे पहले कैट की आधिकारिक वेबसाइट iimcat.ac.in पर जाएं।
कैट 2025 लॉगिन पर क्लिक करें।
अपने कैट क्रेडेंशियल जैसे कैट यूज़र आईडी और पासवर्ड से लॉग इन करें। ।
कैट 2025 के लिए स्कोरकार्ड टैब पर क्लिक करें।
भविष्य के संदर्भ के लिए कैट 2025 रिजल्ट पीडीएफ़/स्कोरकार्ड को रिव्यू करें और डाउनलोड करें।
December 19, 2.15 PM I कैट रिजल्ट 2025: टॉप आईआईएम कौन से हैं?
उम्मीदवार जानना चाहते है कि भारत में टॉप आईआईएम कौन से हैं, तो इसका उत्तर है 'IIM BLACKI' (आईआईएम बैंगलोर, आईआईएम कलकत्ता, आईआईएम अहमदाबाद, आईआईएम इंदौर, आईआईएम कोझिकोड, आईआईएम इंदौर)।
December 19, 1.00 PM I कैट 2025 रिजल्ट: 80-90 पर्सेंटाइल के लिए टॉप कैट 2025 कॉलेज कौन से हैं?
आईआईएम के अलावा, फोर स्कूल ऑफ मैनेजमेंट, जीआईएम गोवा, वेलिंगकर, एसपीजेएमआर, टीएपीएमआई, एलआईबीए, एसआईएमआरईई, टीएपीएमआई टॉप 80-90 परसेंटाइल CAT 2025 कॉलेज हैं।
December 19, 12.18 AM I कैट 2025 रिजल्ट : कैट 2025 रिजल्ट पीडीएफ़ में बताई गई डिटेल्स
कैट 2025 स्कोरकार्ड/रिजल्ट में बताई गई डिटेल्स नीचे दी गई हैं। कैंडिडेट को कैट 2025 रिजल्ट देखते समय इन डिटेल्स को ध्यान से देखना चाहिए।
December 19, 11.53 AM I कैट 2025 रिजल्ट: कैट 2025 परीक्षा में कितने उम्मीदवार शामिल हुए?
कैट 2025 नोटिफिकेशन के अनुसार, इस साल 2.58 लाख स्टूडेंट्स कैट एग्जाम में शामिल हुए, जो कैट 2024 की तुलना में कम है।
| कैट वर्ष | कैट में पंजीकृत उम्मीदवारों की संख्या | कैट में उपस्थित उम्मीदवारों की संख्या |
| 2025 | 2.95 लाख | 2.58 लाख |
| 2024 | 3.29 लाख | 2.95 लाख |
December 19, 11.32 AM I क्या कैट का रिजल्ट जारी हो गया है?
नहीं, कैट का रिजल्ट अभी नहीं आया है! हालांकि, पिछले साल के ट्रेंड्स को देखते हुए, बहुत संभावना है कि कैट 2025 का रिजल्ट आज, 19 दिसंबर 2025 को शाम 5.00 बजे के आसपास आ जाएगा।
December 19, 11.19 AM I iimcat.ac.in पर कैट का रिजल्ट कब आएगा?
कैट 2025 का रिजल्ट iimcat.ac.in पर शाम 5.00 बजे के आसपास आने की उम्मीद है।
December 19, 10.30 AM I कैट 2025 रिजल्ट: कैट 2025 परसेंटाइल गणना
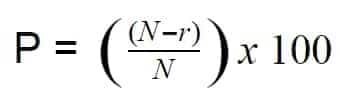
कैट रिजल्ट के बाद एमबीए एडमिशन कैट 2025 परसेंटाइल के साथ-साथ कैट कॉलेजों के कटऑफ 2025 पर आधारित होगा। यहाँ रॉ कैट स्कोर 2025 से कैट 2025 परसेंटाइल कैलकुलेशन प्रोसेस प्रदान किया गया है-

P = एक उम्मीदवार का परसेंटाइल
N = उम्मीदवारों की कुल संख्या
r = एक उम्मीदवार को दी गई रैंक
अब यदि आईआईएम कैट रिजल्ट 2025 की तारीख 19 दिसंबर होने के पीछे के कारणों को देखें, तो इस अनुमान के पीछे एक से ज़्यादा कारण मिल सकते हैं।
आईआईएम कैट रिजल्ट, कैट 2025 फाइनल आंसर की के दो दिन बाद जारी होगा। : 19 दिसंबर को कैट 2025 रिजल्ट का संभावित दिन पिछले साल के ट्रेंड से मेल खाता है, जहाँ आईआईएम कैट का रिजल्ट फाइनल कैट आंसर की 2025 जारी होने की तारीख के दो दिन बाद जारी किए गया था।
पिछले साल कैट 2025 रिजल्ट की तारीख: पिछले साल कैट का रिजल्ट 19 दिसंबर 2024 को जारी किए गया था।
कैट 2025 का रिजल्ट प्रोविजनल कैट 2025 आंसर की के 15/16 दिन बाद जारी किया जाएगा: 19 दिसंबर को कैट 2025 रिजल्ट का संभावित दिन पिछले कुछ सालों के ट्रेंड से मेल खाता है, जब प्रोविजनल कैट आंसर की जारी होने के 15-16 दिन बाद कैट रिजल्ट का लिंक पब्लिश किया गया था। इस साल प्रोविजनल कैट 2025 आंसर की 04 दिसंबर, 2025 को जारी हुई थी।
नोट: कैट 2025 रिजल्ट की तारीख पिछले ट्रेंड्स और ऑफिशियल टाइमलाइन पर आधारित है। फाइनल कन्फर्मेशन सिर्फ़ iimcat.ac.in पर जारी किया जाएगा।
उम्मीद है कि आईआईएम कैट 2025 का रिजल्ट लिंक 19 दिसंबर को @iimcat.ac.in पर जारी हो जाएगा। इसके जारी होने के बाद उम्मीदवार कैट 2025 लॉगिन का इस्तेमाल करके कैट 2025 रिजल्ट पीडीएफ़ डाउनलोड कर सकते हैं।
आईआईएम कैट 2025 रिजल्ट लिंक | जल्द अपडेट किया जाएगा |
कैट रिजल्ट के 19 दिसंबर, 2025 को घोषित किए जानें की संभावना है। पिछले कुछ सालों के ट्रेंड्स को देखते हुए, कैट रिजल्ट फाइनल आईआईएम कैट 2025 आंसर की जारी होने की तारीख के 2 दिन बाद आया था। इसके अनुसार, कैट 2025 रिजल्ट की संभावित तारीख 19 दिसंबर के बीच है। साथ ही, आईआईएम कैट 2025 रिजल्ट का समय रात 8 बजे के आसपास है।
कैट 2025 परीक्षा तिथि | 30 नवंबर, 2025 |
कैट 2025 आंसर की जारी होने की तिथि | 04 दिसंबर, 2025 |
कैट 2025 रिजल्ट की तिथि (संभावित) | 19-20 दिसंबर, 2025 |
कैट 2025 रिजल्ट का समय | रात 8 बजे (संभावित) |
कैट 2025 रिजल्ट डाउनलोड लिंक | सूचित किया जाएगा |
कैट 2025 नोटिफिकेशन में बताया गया है कि आईआईएम कैट रिजल्ट 2025 आईआईएम कोझिकोड द्वारा जनवरी के पहले हफ़्ते के आसपास जारी किया जाएगा, जो कैट रिजल्ट की तारीख के पिछले ट्रेंड से मेल नहीं खाता है। कैट 2025 के संभावित रिजल्ट की तारीख जानने के लिए नीचे दी गई टेबल देखें।
कैट 2025 रिजल्ट की तारीख (संभावित) | इसके कारण | इसके विरुद्ध कारण |
20 दिसंबर, 2025 | यह पिछले कुछ सालों में CAT आंसर की जारी होने की तारीख और CAT रिजल्ट की तारीख के बीच के दिनों के गैप (16 दिन) से मेल खाता है। | एग्जाम की तारीख और रिजल्ट की तारीख के बीच का टाइम गैप (24/25 दिन) फिट नहीं बैठता है। |
24-25 दिसंबर, 2025 | यह परीक्षा की तारीख और रिजल्ट की तारीख के बीच के दिनों के गैप (24 / 25 दिन) में फिट बैठता है। यह कैट ऑब्जेक्शन दिनों और कैट रिजल्ट दिनों के बीच के पिछले ट्रेंड्स से मेल खाता है। (13/14 दिन) | हफ़्ते का बीच का दिन है, और यह उत्सव का समय है। |
यहाँ आईआईएम कैट रिजल्ट की तारीख का वर्ष-वार ब्रेक-अप दिखाने वाली टेबल दी गई है। इस तालिका के माध्यम आपकों अनुमान होगा कि कैट एग्जाम की तारीख और कैट आंसर की की तारीख, साथ ही कैट रिजल्ट की तारीखों के बीच क्या अंतर था। इस कैलकुलेशन से उन्हें कैट 2025 के रिजल्ट की तारीख का अंदाज़ा हो जाएगा, जिसके 19-20 दिसंबर 2025 के आसपास होने की उम्मीद है।
कैट वर्ष | कैट परीक्षा तिथि | कैट सी तिथि | आंसर की और परिणाम तिथि के बीच का अंतर | परीक्षा तिथि और परिणाम तिथि के बीच का अंतर | कैट परिणाम तिथि |
कैट 2025 | 30 नवंबर, 2025 | 4 दिसंबर, 2025 | 16 दिन (संभावित) | 20 दिन (संभावित) | 19 दिसंबर 2025 (संभावित) |
कैट 2024 | 24 नवंबर, 2024 | 03 दिसंबर, 2024 | 16 दिन | 25 दिन | 19 दिसंबर, 2024 |
कैट 2023 | 26 नवंबर, 2023 | 05 दिसंबर, 2023 | 16 दिन | 24 दिन | 21 दिसंबर, 2023 |
कैट 2022 | 27 नवंबर, 2022 | 04 दिसंबर, 2022 | 17 दिन | 24 दिन | 21 दिसंबर, 2022 |
कैट 2021 | 28 नवंबर, 2021 | 08 दिसंबर, 2021 | 26 दिन | 36 दिन | 03 जनवरी, 2022 |
कैट 2025 का रिजल्ट पीडीएफ़ ऑफिशियल वेबसाइट iimcat.ac.in पर कैट लॉगिन 2025 के ज़रिए डाउनलोड के लिए उपलब्ध होगा। इसके अलावा, आईआईएम कैट 2025 रिजल्ट डाउनलोड लिंक Careers360 आर्टिकल पर भी उपलब्ध होगा। जो उम्मीदवार कैट 2025 रिजल्ट पीडीएफ़ डाउनलोड के बारे में सोच रहे हैं, उनके लिए कैट 2025 रिजल्ट पीडीएफ़ डाउनलोड करने का स्टेप-बाय-स्टेप प्रोसेस यहाँ दिया गया है।
सबसे पहले, iimcat.ac.in पर कैट की ऑफिशियल वेबसाइट पर जाएं।
कैट 2025 लॉगिन पर क्लिक करें।
अपने क्रेडेंशियल जैसे कैट यूज़र आईडी और पासवर्ड से लॉग इन करें। ।
कैट 2025 के लिए स्कोरकार्ड टैब पर क्लिक करें।
भविष्य के लिए कैट 2025 रिजल्ट पीडीएफ़/स्कोरकार्ड को रिव्यू करें और डाउनलोड करें।
स्कोरकार्ड/कैट 2025 रिजल्ट में बताई गई डिटेल्स नीचे दी गई हैं। कैंडिडेट को कैट 2025 रिजल्ट देखते समय इन डिटेल्स को ध्यान से देखना चाहिए।
कैट 2025 रजिस्ट्रेशन नंबर
कैंडिडेट का नाम
जन्म तिथि
कैट एग्जाम की तारीख, स्लॉट और टाइमिंग
रजिस्टर्ड ईमेल और मोबाइल नंबर
कैट 2025 स्केल्ड स्कोर
कैट 2025 स्कोर (सेक्शन-वाइज़)
कैट 2025 पर्सेंटाइल स्कोर (सेक्शन-वाइज़)
कैट 2025 पर्सेंटाइल स्कोर (ओवरऑल)
कैट 2025 स्कोर वैलिडिटी
कैट 2025 के नतीजे घोषित होने के बाद आगे क्या होगा? कैट 2025 रिजल्ट की तारीख के बाद, जब आप कैट पर्सेंटाइल प्रेडिक्टर का इस्तेमाल करके अपना कैट 2025 स्कोर बनाम पर्सेंटाइल कैलकुलेट कर लेंगे, तो आप Careers 360 कैट 2025 कॉलेज प्रेडिक्टर का इस्तेमाल कर सकते हैं, जो आपको यह जानने में मदद करेगा कि आप इस एमबीए एडमिशन 2026 सेशन में किन एमबीए कॉलेजों में एडमिशन पा सकते हैं।
इसके अलावा आईआईएम इंटरव्यू शॉर्टलिस्टिंग की तैयारी शुरू करेंगे, और कैंडिडेट्स को आईआईएम एडमिशन 2026 के लिए इंटरव्यू के लिए बुलाया जाएगा। आईआईएम और नॉन-आईआईएम बी-स्कूलों के लिए सिलेक्शन राउंड शुरू किया जाएगा।
आम तौर पर, क्वालिफाइड कैंडिडेट्स को IIMs की सिलेक्शन प्रक्रिया से गुज़रना होगा, जिसमें एक रिटन एबिलिटी टेस्ट, पर्सनल इंटरव्यू राउंड, और/या ग्रुप डिस्कशन शामिल है।
शुरुआती स्क्रीनिंग कैट परीक्षा स्कोर और एकेडमिक परफॉर्मेंस के आधार पर होगी।
लिखित योग्यता परीक्षा (डबल्यूएटी) और पर्सनल इंटरव्यू (पीआई) राउंड।
एमबीए/पीजीडीएम/पीजीपी कोर्स के लिए फाइनल सिलेक्शन कम्पोजिट स्कोर (हर आईआईएम के लिए अलग-अलग) के आधार पर होगा।
जो उम्मीदवार कैट 2025 की फाइनल आंसर की का बेसब्री से इंतज़ार कर रहे हैं, वे कैट आंसर की से अपना अनुमानित कैट 2025 रॉ स्कोर चेक कर सकते हैं। हालांकि, आईआईएम एडमिशन 2026 कैट 2025 परसेंटाइल पर आधारित होगा। इसलिए, यहाँ अपेक्षित कैट 2025 स्कोर बनाम परसेंटाइल के बारे में एक टेबल दी गई है।
कैट 2025 परसेंटाइल | कैट 2025 स्लॉट 1 स्कोर बनाम परसेंटाइल | कैट 2025 स्लॉट 2 स्कोर बनाम परसेंटाइल | कैट 2025 स्लॉट 3 स्कोर बनाम परसेंटाइल |
99.95 | 115+ | 110+ | 112+ |
99.9 | 103-106 | 102-105 | 102-104 |
99.5 | 90-92 | 89-91 | 89-90 |
99 | 78-82 | 77-79 | 76-78 |
97 | 66-68 | 65-67 | 65-67 |
95 | 56-58 | 55-57 | 54-56 |
90 | 45-48 | 44-46 | 44-45 |
85 | 40-42 | 38-40 | 38-40 |
80 | 35-36 | 34-35 | 34-35 |
75 | 32-33 | 31-32 | 30-32 |
Frequently Asked Questions (FAQs)
कैट 2025 का स्कोर एक साल के लिए वैलिड रहेगा।
यदि कैट 2025 का रिजल्ट देरी से आता है, तो अगला आईआईएम कैट रिजल्ट 20-25 दिसंबर 2025 के बीच आएगा।
कैट 2025 की आंसर की 17 दिसंबर, 2025 को जारी की जाएगी।
On Question asked by student community
Hello,
For a raw score of 56 in CAT 2025 Slot 3, your expected overall percentile is likely to be in the range of the 90th-95th percentile. The exact percentile can vary slightly on the final normalization process and the process and performance of all test-takers. In this article you'll find more about the CAT result.
I hope it will clear your query!!
Hello,
With a projected CAT percentile of 87% but not clearing sectional cutoffs, your chances at top IIMs are limited because they require both overall percentile and sectional minimums. However, you still have a good shot at other reputed management institutes and non-IIM B-schools. Consider colleges like NMIMS, SPJIMR, IMT, TAPMI, Great Lakes, and other well-ranked private or state-level B-schools that accept CAT scores and weigh your profile holistically. Your academic record, BSc in Animation with 80%, and 5 years of work experience at Ubisoft India are strong points and may help in institutes that value work experience in their selection process. Also, explore institutes that accept XAT, MAT, or CMAT, where your profile can be competitive.
Hope this helps you.
Good Morning,
NIT Rourkela CAT cutoff range is between 70-85 percentiles for the general category. 70 is the minimum percentile needed to apply, and 85 is the highest percentile. However, the maximum percentile depends on the particular year competition. It can be changed.
Thank You.
If you filled the UGC NET form under EWS but you don’t have a valid EWS certificate, then forget using the EWS category. They won’t accept it. You’ll automatically be treated as General category during document verification.
And no, this won’t make your form “invalid” or “illegal.” It just means you won’t get the EWS benefit.
So yes — you can still go for General category posts and Professor recruitment. Just don’t try to submit a fake/invalid certificate; that will get you disqualified.
Hello,
If your CAT admit card shows your surname first followed by your first name as entered in the form, it is correct. You do not need to worry about this format as long as it matches the details you provided. Ensure all other information on the admit card is accurate and carry it to the exam along with the required identification documents.
Hope this helps you.
Ranked among top 10 B-Schools in India by multiple publications | Top Recruiters-Google, MicKinsey, Amazon, BCG & many more.
Globally Recognized by AACSB (US) & AMBA (UK) | 17.8 LPA Avg. CTC for PGPM 2025
IBSAT 2025-Your gateway to MBA/PGPM @ IBS Hyderabad and 8 other IBS campuses | Scholarships worth 10 CR
AACSB Accredited | Highest CTC: 22 LPA | Last Date: 31st December 2025
Among top 6% B-Schools globally to be accredited by AACSB | 7000+ Alumni Network
Top 30 Private B-Schools Nationally and Top 3 in Gujarat | Highest CTC- 20 LPA | Average CTC- 8.4 LPA | 40% Pre-Placement Offers | 670+ Recruiters