For 95 percentile in the CAT 2025, candidates are expected to have at least 56-58 marks in slot 1. While in slot 2, for the CAT 2025 95 percentile, the CAT marks are predicted between 55-57. Candidates who appeared for the CAT 2025 exam on November 30, 2025, in any slot must check the expected CAT percentile vs. marks needed to have an idea about their MBA admission 2026 chances. The CAT 2025 official answer key for all slots has been released on December 04, 2025, at 5:00 PM. The CAT 2025 response sheet is available to download from the official CAT website. Candidates must download the CAT 2025 answer key and response sheet to analyze their score. The calculation of the CAT score vs percentile becomes complex, as the CAT exam is conducted in three slots. To rectify this, the CAT authorities use a normalization process. Read the complete article to know how the normalisation process works and how many marks for 95 Percentile CAT 2025 are needed in each slot.
ALSO CHECK: CAT 2025 cut off IIM ABC | Expected IIM Ahmedabad Composite Score 2026 | 8,10,12,14,15,16,20,24,25 Marks in CAT 2025 Means How Much Percentile?
IIM Kozhikode will retain its three-stage admission process for the MBA (PGP) 2026–28 batch, with CAT 2025 scores carrying a final weightage of 35 percent. The minimum overall CAT cut-off for general category candidates remains at 85 percentile, with sectional qualifying scores required in VARC, DILR, and QA. Shortlisting of candidates will be based on CAT performance, academic record, and personal interview rounds.
This Story also Contains
For each slot of the CAT 2025 exam, 95 percentile will mean a different CAT score. Based on the difficulty level of the CAT exam, for the 95 percentile, CAT marks will vary. For Slot 3 of the CAT 2025 exam, the 95 percentile is expected to be achieved by a candidate with around 54-56 marks.
LATEST Official CAT 2025 Answer Key RELEASED | CAT 2025 Score vs Percentile vs Colleges | CAT 2025 answer key download Link.
Below is the CAT percentile vs score by IMS for each CAT 2025 slot.
Percentile | Slot 1 CAT Marks | Slot 2 CAT Marks | Slot 3 CAT Marks |
99.9 | 122 | 115 | 119 |
99.5 | 103 | 97 | 101 |
99 | 90 | 83 | 87 |
98 | 81 | 75 | 77 |
95 | 70 | 65 | 66 |
90 | 53 | 51 | 52 |
The expected percentile vs marks data for the CAT 2025 exam slots by Career Launcher is provided in the table below.
Expected Percentiles | CAT 2025 Slot 1 | CAT 2025 Slot 2 | CAT 2025 Slot 3 |
99 | 81 | 82-83 | 83-84 |
95 | 65 | 66 | 67 |
90 | 52 | 53 | 53 |
85 | 45 | 45 | 45 |
80 | 40 | 40 | 40 |
Candidates can check the CAT percentile vs marks for CAT 2025 slots in the following table, as expected by IQuanta.
Percentile | Slot 1 CAT Marks | Slot 2 CAT Marks | Slot 3 CAT Marks |
99.9 | 120 | 121 | 115 |
99.5 | 100 | 102 | 97 |
99 | 88 | 90 | 85 |
98 | 75 | 77 | 72 |
95 | 65 | 67 | 65 |
90 | 54 | 56 | 52 |
For the CAT 2025 slot 1, 95 percentile in CAT 2025 means 56-58 marks. Whereas the students will need to score 115+ marks for 99.95 percentile.
CAT 2025 Percentile | CAT 2025 Slot 1 score |
|---|---|
99.95 | 115+ |
99.9 | 103-106 |
99.5 | 90-92 |
99 | 78-82 |
95 | 56-58 |
Data by Careers360
The CAT 2025 marks for 95 percentile are predicted to be around 55-57. See the table below to know the CAT 2025 percentile vs marks for 95 percentile and above.
CAT 2025 Percentile | CAT 2025 Slot 2 Score |
|---|---|
99.95 | 110+ |
99.9 | 102-105 |
99.5 | 89-91 |
99 | 77-79 |
95 | 55-57 |
Data by Careers360
The CAT 2025 95 percentile marks for Slot 3 are slightly different from Slot 2. For 95 percentile students require 54-56 marks in the CAT Slot 3 exam.
CAT 2025 Percentile | CAT 2025 Slot 2 Score |
|---|---|
99.95 | 112+ |
99.9 | 102-104 |
99.5 | 88-90 |
99 | 76-78 |
95 | 54-56 |
Data by Careers360
The IIM CAT 95 percentile accepting college list is given below. The CAT 95 percentile rank of IIM colleges is mentioned in the table as well.
CAT 2025 Percentile (Expected)
CAT 95 percentile rank of colleges
IIM Ahmedabad CAT 2025 Cutoff
95+
1
IIM Bangalore CAT 2025 Cutoff
95+
2
IIM Kozhikode CAT 2025 Cutoff
95+
3
IIM Lucknow CAT Cutoff 2025
95+
5
IIM Mumbai CAT 2025 Cutoff
95+
6
IIM Calcutta CAT Cutoff 2025
95+
7
IIM Indore CAT Cutoff 2025
95+
8
IIM Rohtak CAT Cutoff 2025
95+
19
Many non-IIMS accept a CAT 95 percentile or more for admission to management programs. A list of colleges along with CAT 95 percentile rank of colleges 2025 is provided in the following table.
CAT 2025 Percentile (Predicted)
CAT 95 percentile rank of colleges
98
4
95-96
9
XLRI CAT Cutoff 2025
94-96
10
IIT Madras 2025 CAT Cutoff
96
13
IIT Bombay cutoff CAT 2025
99
14
99+
17
95-96
20
92-95
30
85-95
37
IBS, Hyderabad CAT 2025 Cutoff
95
46
Jamnalal Bajaj CAT Cutoff 2025
95+
-
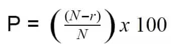
As CAT percentile is calculated based on your section-wise CAT scaled scores and the overall CAT scaled score. The CAT percentile calculation method uses a simple percentile formula using the number of candidates in the exam and the rank of the candidates. Now let us understand how is CAT percentile is calculated.
Step 1: Determine the total number of candidates (N) expected to appear for the CAT 2025 exam across both slots, morning and afternoon.
Step 2: Allot Rank (r) based on the scaled score obtained in any one section (e.g., QA) to all the candidates who appeared in the CAT. If two or more candidates score the same marks in the section, then assign identical ranks to the candidates.
Step 3: Calculate the percentile (P). The image below shows how to calculate the CAT percentile using the rank based on the VARC section scaled score.

The CAT exam was held on November 30, 2025, in three separate slots with potentially varying levels of difficulty. To eliminate potential bias and maintain fairness for the CAT 2025 exam, the normalisation process is implemented. The normalisation process helps create an equal field for all candidates. After evaluating the candidate’s response sheet, raw scores are generated. These raw scores are then converted into scaled scores through the normalisation process. Finally, the scaled scores are used to determine the CAT percentile.
Frequently Asked Questions (FAQs)
Top IIMs such as BLACKI and many other prominent colleges like IIT Delhi, IIT Bombay, MDI SPJIMR will accept a 95 percentile or more.
The colleges accepting 95 percentile are all good rank colleges with NIRF 2025 ranking ranging from 1 to 37.
For the CAT 95 percentile, candidates will have to secure CAT 2025 marks between 54-58, depending on the slot.
On Question asked by student community
With 84.91 percentile in CAT (General, male, no work experience), top colleges like IIMs, IITs, FMS, MDI, etc. are not possible. You may get calls from private institutes such as IMT Nagpur/Hyderabad, IMI Bhubaneswar, XIME, SDMIMD, Welingkar (some programs) and similar colleges. Universities like Amity or LPU are also options.
It’s better to choose carefully, as placements and ROI may be average. Reattempting CAT or trying XAT/CMAT could improve options.
Hello,
With a CAT percentile of 88.77 and a strong CGPA of 9.0, you are in a competitive range for newer IIMs (like IIM Amritsar, IIM Bodh Gaya, IIM Sirmaur, IIM Nagpur) and several top non-IIM B-schools such as TAPMI, BIM Trichy, Great Lakes, IMI Delhi, FORE School of Management, and KJ Somaiya. You may not reach the older IIMs (Ahmedabad, Bangalore, Calcutta, etc.) since they usually require 98+ percentile, but you have excellent chances at mid-tier and emerging institutes.
For more details access mentioned link below:
Hope it helps.
Hello
The expected cutoff for the JAP (Joint Admission Process) is around 90 to 95th percentile, with a minimum sectional cutoff of around 75 percentile in Quantitative Ability. You have scored 82.2% which is very low; that's why you are unlikely to meet the minimum criteria for the JAP IIMs in the general Category.
I hope this information helps you.
Thank you.
Hello,
Here is your IIM Cutoff for Gen/OBC/SC/ST, CS Score Cut Off. I am providing you the link. Kindly open and check it out. From here you can get all the details.
I hope it will help you.
Thank you.
With a CAT score of around 80 percentile and about 2 years of work experience, getting a call from the top IIMs (IIM Ahmedabad, Bangalore, Calcutta, Lucknow, Kozhikode, Indore) is extremely difficult, as their cutoff percentiles are usually much higher, even for reserved categories. These institutes typically shortlist candidates above 95–99 percentile depending on category, academic profile, and diversity factors.
However, you may still have some chances at a few of the newer or baby IIMs, especially if you belong to a reserved category (SC/ST/OBC/EWS) and have a decent academic background. IIMs such as IIM Jammu, IIM Bodh Gaya, IIM Sirmaur, IIM Sambalpur, IIM Nagaland, IIM Amritsar, and IIM Vizag have historically called candidates in the 75–85 percentile range for certain categories. Your 2 years of work experience can also work in your favour, as most IIMs give weightage to professional experience during shortlisting and final selection.
That said, selection does not depend on CAT percentile alone. Factors like your 10th and 12th marks, graduation score, academic consistency, gender and academic diversity, work experience quality, and performance in the personal interview play a very important role. Even with an 80 percentile, a strong interview and profile can improve your chances at newer IIMs.
You should also keep strong non-IIM options open. At this percentile, good colleges like newer IIT MBA programs, some NITs, and reputed private B-schools can offer better and more realistic opportunities. Applying broadly and preparing seriously for the interview stage is very important.
In summary, while top IIMs are unlikely at 80 percentile, you may still have a realistic chance at some of the newer IIMs depending on your category and overall profile.
Globally Recognized by AACSB (US) & AMBA (UK) | 17.8 LPA Avg. CTC for PGPM 2025
Ranked amongst top 3% universities globally (QS Rankings)
Highest Package 27.25 LPA | Top 100 Average package 16.65 LPA | AACSB Accredited | Ranked 52 by QS International
Phase 02 Applications Window Closing on 23rd January 2026 | 100% Placement Record | Average CTC 12.75 LPA | Highest CTC 40.31 LPA | Median CTC 12.49 LPA
Application Deadline 15th Jan’26 | UGC Approved Programs | Near 100% Placement Record | Up to 100% Scholarships | Highest CTC 21.32 LPA
Ranked #36 amongst institutions in Management by NIRF | 100% Placement