Great Lakes - PGDM & PGPM Admissions 2026
Globally Recognized by AACSB (US) & AMBA (UK) | 17.8 LPA Avg. CTC for PGPM 2025
CAT 2025 Score vs Percentile: How many marks in CAT equal 95, 98, and 99 percentile is a very common question among MBA aspirants preparing for CAT exam. Scoring the 99 percentile in CAT 2025 requires an expected overall CAT score in the range of 87-93 and CAT section-wise score in the range of 39-40 for VARC, 31-32 for DILR, and 30-31 for QA. CAT overall score of 63-68 is expected to equal 95 percentile in the CAT 2025 exam with lower section-wise CAT scores like 23-24 for QA, 24-25 for DILR, and 31-32 for VARC section. CAT 2025 has concluded on November 30, 2025. Check out details on CAT 2025 marks vs percentile, CAT raw score, the CAT scaled score, the CAT 2025 marks vs percentile, and how to effectively calculate the CAT percentile.
The CAT percentile calculation will be done in four steps:
This Story also Contains
The CAT 2025 exam is conducted in three slots, divided based on shifts. A candidate may require 90 marks for 99 percentile in slot 1, while only 87 marks for 99 percentile in slot 2 because of the CAT normalisation process. This is used to eliminate biases brought upon by the exam difficulty level across different slots. The table below has the expected CAT 2025 marks that can equal 95,98, and 99 percentiles.
CAT Percentile | CAT VARC Score 2025 (Expected) | CAT 2025 DILR Score (Expected) | CAT QA Score 2025 (Expected) | CAT 2025 Overall Score (Expected) |
99+ | 12-53 | 43-61 | 36-46 | 97-133 |
98 | 28-29 | 31-32 | 31-32 | 86-91 |
95 | 31-32 | 24-25 | 23-24 | 66-70 |
The CAT exam difficulty level varies in each slot and section-wise CAT score, so do the marks in the CAT equal the 95, 98, and 99 percentiles? Candidates preparing for CAT 2025 are expected to require an overall CAT score of 90 in slot 1 and 87 in slot 2 to obtain a 99 percentile in the CAT 2025 exam. The table below shows the expected CAT 2025 marks vs the percentile of slot 2.
CAT Percentile | CAT VARC Score 2025 | CAT 2025 DILR Score 2025 (Expected) | CAT QA Score 2025 (Expected) | CAT Overall Score 2025 (Expected) |
99 | 15-52 | 41-61 | 36-45 | 95-132 |
98 | 27-29 | 29-32 | 30-32 | 84-90 |
95 | 33-34 | 22-23 | 22-23 | 65-70 |
Marks in the CAT equal the 95, 98, and 99 percentile in slot 3 are different from other slots. Not only this, there is a section-wise CAT score variation as well. The table highlights the CAT section-wise marks to score 95, 98, and 99 percentile in the CAT exam 2025.
CAT Percentile | CAT 2025 VARC Score (Expected) | CAT DILR Score 2025 (Expected) | CAT 2025 QA Score 2025 (Expected) | CAT 2025 Overall Score (Expected) |
99 | 16-53 | 40-61 | 35-46 | 96-133 |
98 | 25-29 | 30-32 | 28-32 | 85-91 |
95 | 34-35 | 23-24 | 24-25 | 64-70 |
The table below mentions the expected marks vs percentile in the CAT 2025 as per IMS predictions of last year.
CAT 2025 Percentile | CAT Exam Slot 1 | CAT Exam Slot 2 (Expected) | CAT Exam Slot 3 (Expected) |
99 | 96-132 | 97-133 | 96-131 |
98 | 97-98 | 96-98 | 97-99 |
95 | 59-61 | 57-59 | 55-57 |
Calculating the marks in the CAT equal 95, 98, and 99 percentile using the CAT scaled score is important because the CAT exam is conducted in three shifts with varying difficulty of the exam. Therefore, calculating the percentile merely based on the CAT raw score would be unfair for many. The table shows the scaled score in the CAT 2025 marks vs percentile.
CAT Percentile | CAT Scaled Score 2024 | CAT Scaled Score 2023 | CAT Scaled Score 2022 |
99 | 95 | 84.5 | 84 |
98 | 69+ | 66.68 | 73.88 |
95 | 70 | 55 | 60 |
To calculate the expected marks in the CAT equal 95, 98, and 99 percentile in 2025, you should first analyse the past few years’ CAT scores equal to 95, 98, and 99 percentile. The table represents the CAT scores equal to 95, 98, and 99 percentile and the section-wise CAT score in 2024.
CAT Percentile 2024 | CAT VARC Section Score 2024 | CAT DILR Section Score 2024 | CAT QA Section Score 2024 | CAT Overall Score 2024 |
99.96 | 52.94 | 43.32 | 36.68 | 132.94 |
| 99.94 | 23.33 | 62.49 | 42.95 | 128.77 |
| 99.89 | 45.42 | 39.42 | 37.16 | 122 |
| 99.85 | 33.96 | 55.31 | 31.17 | 118.44 |
| 99.84 | 24.3 | 50.48 | 42.95 | 117.72 |
| 99.83 | 15.61 | 55.48 | 46.14 | 117.23 |
| 99.81 | 47.5 | 33.01 | 36.17 | 116.68 |
| 99.77 | 23.54 | 52.24 | 38.16 | 113.94 |
| 99.69 | 30.09 | 41.47 | 38.69 | 110.25 |
| 99.62 | - | - | - | 107.9 |
| 99.5 | - | - | - | 103.98 |
| 99.28 | 20.44 | 44.48 | 34.43 | 99.34 |
| 99.14 | 12.08 | 61.56 | 43.16 | 96.79 |
98.68 | 28.16 | 31.47 | 31.24 | 90.86 |
| 98.57 | - | - | - | 89.71 |
| 98.39 | - | - | - | 87.84 |
| 98.37 | - | 33.47 | 28.4 | 87.74 |
| 98.26 | - | - | - | 86.7 |
95 | 30 | 20 | 22 | 70 |
The marks in the CAT equal 95, 98, and 99 percentile in 2023, requiring a CAT overall score of 27 to attain 106 percentile in the CAT exam. The table shows the required CAT scores for 95, 98, and 99 percentile, respectively.
CAT Percentile 2023 | CAT VARC Section Score 2023 | CAT DILR Section Score 2023 | CAT QA Section Score 2023 | CAT Overall Score 2023 |
| 99.95 | 36.94 | 46.45 | 22.7 | 106.09 |
| 99.62 | 32.12 | 23.83 | 38.65 | 87 |
| 99.61 | 24.53 | 28.83 | 38.65 | 87 |
| 99.58 | 21.67 | 29.48 | 34.96 | 86.11 |
| 99.39 | 43.69 | 17.62 | 20.69 | 88.99 |
| 99.21 | 11.88 | 27.56 | - | - |
| 99.08 | 37.9 | 26.57 | 12.62 | 77.8 |
| 94.07 | - | - | - | 57.07 |
| 86.63 | 14.77 | 14.64 | 10.6 | 40 |
| 81.83 | 12.84 | 6.69 | 15.64 | 35.17 |
| 79.26 | 15.27 | 6.17 | 11.68 | 33.12 |
| 74.57 | - | - | - | 30 |
| 70.96 | 8.02 | 6.69 | 12.62 | 27.32 |
The marks in the CAT equal 95, 98, and 99 percentile in 2022, requiring a CAT overall score of 49 to attain 95 percentile in the CAT exam. The table shows the required CAT scores for 95, 98, and 99 percentile, respectively.
CAT Percentile 2022 | CAT VARC Section Score 2022 | CAT DILR Section Score 2022 | CAT QA Section Score 2022 | CAT Overall Score 2022 |
| 99.29 | 21.29 | 23.76 | 43.02 | 88.06 |
99 | 33 | 29 | 33 | 84 |
98 | — | — | — | — |
95 | 23 | 15 | 17 | 49 |
A candidate must attain an overall CAT score of 97 out of 204 marks to get a CAT 99 percentile, the highest in the past few years. The table shows marks in the CAT equal 95, 98, and 99 percentile and section-wise CAT score in 2021.
CAT Percentile 2021 | CAT VARC Section Score 2021 | CAT DILR Section Score 2021 | CAT QA Section Score 2021 | CAT Overall Score 2021 |
99 | 45 | 34 | 34 | 97 |
98 | — | — | — | — |
95 | — | — | — | — |
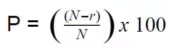
The CAT percentile is calculated based on the section-wise CAT scaled score and the overall CAT scaled score. The CAT percentile is calculated through the percentile formula using the number of candidates who appeared for the exam and the rank of the candidates.
Step 1: Calculate the estimated number of candidates (N) who appear for the CAT exam.
Step 2: Allot the rank (r) based on the scaled score obtained from any one of the CAT sections to all the candidates who appeared in the CAT exam.
Step 3: This step shows how to calculate the CAT percentile (p) using the rank based on the VARC section.

Step 4: Round off all calculated percentile scores to two decimal points. For instance, 98.998 rounded off to 99 percentile.
The CAT score conversion to the CAT percentile goes through a three-stage process. Firstly, the CAT raw score is calculated based on the performance in the exam, then raw scores are normalised to reach a scaled score, and lastly, your scaled score determines the CAT percentile. The CAT official scorecard does not mention the raw score; it only has section-wise scaled scores, your CAT percentile, and overall marks. The following points provide a thorough understanding of the CAT score to CAT percentile conversion process.
CAT Raw Score: Your CAT raw score is calculated based on your response sheet. These are released along with official answer keys.
CAT Scaled Score: The CAT exam is conducted in three slots, and to avoid biases, there’s a CAT normalisation process. Scores after normalisation are called the CAT scaled score.
CAT Percentile: The CAT scaled score data is used to calculate the candidate’s CAT percentile to show relative position as to how ahead or behind a particular candidate is as compared to other candidates.
Frequently Asked Questions (FAQs)
A 99 percentile score in the CAT exam requires an overall CAT score of 87-93 marks. This may vary based on the difficulty level and the candidates who appeared for the CAT exam.
A candidate is required to score in the range of 78-82 marks, equal to 98 percentile in the CAT exam.
IIM Kozhikode, with Professor Ram Kumar P.N. as the convener, is the exam setter of the CAT exam 2025.
On Question asked by student community
Hello,
For a raw score of 56 in CAT 2025 Slot 3, your expected overall percentile is likely to be in the range of the 90th-95th percentile. The exact percentile can vary slightly on the final normalization process and the process and performance of all test-takers. In this article you'll find more about the CAT result.
I hope it will clear your query!!
Hello,
With a projected CAT percentile of 87% but not clearing sectional cutoffs, your chances at top IIMs are limited because they require both overall percentile and sectional minimums. However, you still have a good shot at other reputed management institutes and non-IIM B-schools. Consider colleges like NMIMS, SPJIMR, IMT, TAPMI, Great Lakes, and other well-ranked private or state-level B-schools that accept CAT scores and weigh your profile holistically. Your academic record, BSc in Animation with 80%, and 5 years of work experience at Ubisoft India are strong points and may help in institutes that value work experience in their selection process. Also, explore institutes that accept XAT, MAT, or CMAT, where your profile can be competitive.
Hope this helps you.
Good Morning,
NIT Rourkela CAT cutoff range is between 70-85 percentiles for the general category. 70 is the minimum percentile needed to apply, and 85 is the highest percentile. However, the maximum percentile depends on the particular year competition. It can be changed.
Thank You.
If you filled the UGC NET form under EWS but you don’t have a valid EWS certificate, then forget using the EWS category. They won’t accept it. You’ll automatically be treated as General category during document verification.
And no, this won’t make your form “invalid” or “illegal.” It just means you won’t get the EWS benefit.
So yes — you can still go for General category posts and Professor recruitment. Just don’t try to submit a fake/invalid certificate; that will get you disqualified.
Hello,
If your CAT admit card shows your surname first followed by your first name as entered in the form, it is correct. You do not need to worry about this format as long as it matches the details you provided. Ensure all other information on the admit card is accurate and carry it to the exam along with the required identification documents.
Hope this helps you.
Ranked among top 10 B-Schools in India by multiple publications | Top Recruiters-Google, MicKinsey, Amazon, BCG & many more.
Globally Recognized by AACSB (US) & AMBA (UK) | 17.8 LPA Avg. CTC for PGPM 2025
IBSAT 2025-Your gateway to MBA/PGPM @ IBS Hyderabad and 8 other IBS campuses | Scholarships worth 10 CR
AACSB Accredited | Highest CTC: 22 LPA | Last Date: 31st December 2025
Among top 6% B-Schools globally to be accredited by AACSB | 7000+ Alumni Network
Top 30 Private B-Schools Nationally and Top 3 in Gujarat | Highest CTC- 20 LPA | Average CTC- 8.4 LPA | 40% Pre-Placement Offers | 670+ Recruiters