XAT score vs percentile 2026 vs 2025 vs 2024 - Looking at the trends of the previous years, 61 percent in XAT 2026 would mean 99.91 percentile as per the XAT 2026 score vs percentile list. After the release of the XAT 2026 result on January 16, 2026, candidates are wondering about the XAT 2026 score vs percentile. Similarly, expected XAT score vs percentile points out that for more than 99 percentile in XAT 2026 one would need 53 percentile XAT 2026 Score. As candidates are expecting XAT 2026 result to be out around January 16, 2026, candidates are wondering about the XAT 2026 score vs percentile. Though XAT 2026 official answer key will give them the idea about how much they have scored in XAT 2026, the top XAT 2026 colleges admission will be based on the XAT 2026 percentile as well as XAT 2026 cutoff. Apart from tXAT 2026 Score vs percentile , in this article we have discussed the XAT score vs percentile of the previous years like XAT Score vs percentile 2025 as well to get an idea about the expected XAT 2026 score vs percentile.
Latest: | XIMB XAT 2026 Cutoff | XAT 2026 College | XAT 2026 Cutoff LIVE UPDATES
This Story also Contains
Loooking into the trends of the past years, it is expected that in XAT 2026 score vs percentile list 99.99 percentile in XAT 2026 would mean 61 percentile in XAT 2026. Explore the below table to learn more about the XAT 2026 Score vs percentile.
QA Percentage | QA | VALR Percentage | VALR percentile | DM Percentage | DM Percentile | Total Percentage | Total Percentile | GK score | GK Percentile |
44.6429 | 96.3516 | 66.3462 | 99.7305 | 76.1905 | 99.7421 | 61 | 99.9178 | 55 | 87.14 |
40.13 | 94.07 | 51.9512 | 97.479 | 87.1619 | 99.98 | 57.4 | 99.8 | 70 | 99.1 |
61.7 | 99.561 | 55.9308 | 98.3726 | 52.7714 | 90.976 | 57.2 | 99.7905 | 65 | 97.3958 |
42.8571 | 95.5517 | 56.7308 | 98.581 | 64.2857 | 97.599 | 53.6667 | 99.48 | 60 | 93.877 |
53.7976 | 98.761 | 59.9104 | 99.1305 | 27.9048 | 48.7837 | 48.6667 | 98.4916 | 45 | 65.6242 |
47.9475 | 97.5 | 40.1181 | 90.3992 | 58.066 | 94.5949 | 48.0667 | 98.32 | 65 | 97.3958 |
45.2689 | 96.6 | 38.19 | 88.79 | 46.18 | 82.73 | 43.06 | 95.97 | 50 | 78.08 |
29.4643 | 84.3583 | 61.5385 | 99.3284 | 46.4286 | 83.2278 | 45.3333 | 97.2211 | 40 | 51.2215 |
40.0454 | 94.0275 | 37.3665 | 87.6488 | 47.4857 | 84.9762 | 41.2 | 94.5791 | 40 | 51.2215 |
31.3429 | 86.6109 | 36.7 | 86.9088 | 57.5333 | 94.0433 | 40.5333 | 94.0075 | 40 | 51.2215 |
QA Percentage | QA Percentile | VALR Percentage | VALR percentile | DM Percentage | DM Percentile | Total Percentage | Total Percentile | GK score | GK Percentile |
44.6429 | 96.3516 | 66.3462 | 99.7305 | 76.1905 | 99.7421 | 61 | 99.9178 | 55 | 87.14 |
40.13 | 94.07 | 51.9512 | 97.479 | 87.1619 | 99.98 | 57.4 | 99.8 | 70 | 99.1 |
61.7 | 99.561 | 55.9308 | 98.3726 | 52.7714 | 90.976 | 57.2 | 99.7905 | 65 | 97.3958 |
42.8571 | 95.5517 | 56.7308 | 98.581 | 64.2857 | 97.599 | 53.6667 | 99.48 | 60 | 93.877 |
53.7976 | 98.761 | 59.9104 | 99.1305 | 27.9048 | 48.7837 | 48.6667 | 98.4916 | 45 | 65.6242 |
47.9475 | 97.5 | 40.1181 | 90.3992 | 58.066 | 94.5949 | 48.0667 | 98.32 | 65 | 97.3958 |
45.2689 | 96.6 | 38.19 | 88.79 | 46.18 | 82.73 | 43.06 | 95.97 | 50 | 78.08 |
29.4643 | 84.3583 | 61.5385 | 99.3284 | 46.4286 | 83.2278 | 45.3333 | 97.2211 | 40 | 51.2215 |
40.0454 | 94.0275 | 37.3665 | 87.6488 | 47.4857 | 84.9762 | 41.2 | 94.5791 | 40 | 51.2215 |
31.3429 | 86.6109 | 36.7 | 86.9088 | 57.5333 | 94.0433 | 40.5333 | 94.0075 | 40 | 51.2215 |
QA Percentage | QA Percentile | VALR Percentage | VALR percentile | DM Percentage | DM Percentile | Total Percentage | Total Percentile | GK score | GK Percentile |
49.2 | 98.9522 | 59.7769 | 99.6521 | 52.7714 | 94.8795 | 53.8667 | 99.8354 | 52 | 81.1496 |
30.6475 | 95.9624 | 47.9719 | 97.595 | 70.3619 | 99.7992 | 49.2667 | 99.583 | 56 | 89.4469 |
26.87 | 92.37 | 41.5 | 94.05 | 51.58 | 93.31 | 38.88 | 97.1879 | 48 | 69.6 |
29.29 | 93.79 | 50.3235 | 32.6332 | 32.26 | 63.32 | 37.6 | 96.51 | 24 | 5.4441 |
18.2689 | 84.9633 | 34.27 | 87.3 | 38.2095 | 75.12 | 29.4 | 88.83 | 60 | 94.52 |
14.3904 | 79.7485 | 31.1488 | 82.8238 | 23.9143 | 45.2097 | 22.8667 | 76.3725 | 24 | 5.4441 |
1.97 | 50.09 | 5.1308 | 22.688 | 38.87 | 76.33 | 13.4 | 47.55 | 28 | 10.4 |
To understand XAT 2026 Score vs percentile, first and foremost, one needs to understand what is XAT 2026 Score. The total XAT 2026 marks obtained by a candidate based on the scheme representing the XAT 2026 exam pattern are called the XAT 2026 score. Simply put, the total number of marks obtained by candidates in all four sections, namely Verbal and Logical Ability, Decision Making, Quantitative Ability, Data Interpretation, and General Knowledge. To calculate the XAT 2026 score, candidates can follow the procedure mentioned below.
For each right answer, +1 mark will be awarded.
For each incorrect answer, -0.25 marks will be deducted.
0.10 marks will be deducted for more than 8 questions that were not attempted.
Total marks (by category): The total marks are calculated according to the questions answered by the candidates.
This article will help you to understand the process of calculating XAT 2026 raw score vs percentile and measured XAT 2026 marks vs percentile calculation. By using the XAT 2026 score calculator, you can easily know your XAT overall and sectional scores. For the college predictions, candidates can use the XAT college predictor after estimating their XAT score vs percentile.
Particulars | Aspirant 1 | Aspirant 2 | Aspirant 3 |
Questions Answered | 99 | 90 | 81 |
Unattempted Questions | 16 | 6 | 9 |
Correct Answered | 80 | 74 | 68 |
Wrong Answers | 3 | 10 | 4 |
Mark deduction for Unattempted Questions | 0.20 | 0 | 0.10 |
Marks for Correct Answers | 80*1=80 | 74*1=74 | 68*1=68 |
Marks deduct for Wrong Answers | 3*0.25=0.75 | 10*0.25=2.50 | 4*0.25=1 |
Marks deduct for un-attempt answers | 16*0.20=3.20 | 0 | 8*0.10=0.80 |
XAT Score | 80-3.25-0.70=76 | 74-2.50=71.50 | 68-1-0.80=62.20 |
The percentile of XAT 2026 will be calculated based on the scaled score of each category from which questions will be asked and the overall scaled score. The XAT 2026 result cum scorecard will denote the overall and the sectional scores and XAT percentile of the candidates.
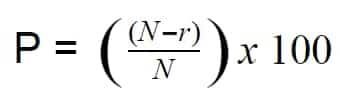
Now, let’s take an example and understand how the XAT 2026 percentile predictor calculates the XAT 2026 percentile. Here is an example regarding the Verbal and Logical Ability section percentile calculation.
Step 1: The first step is to calculate the total number of candidates (N) who may appear for the XAT entrance exam, in both sessions, i.e. Shift 1 and Shift 2 in the morning session.
Step 2: Provide ranking (r) to all candidates appearing in XAT based on the measured score obtained in the Verbal and Logical Ability section.
Step 3: Calculate the percentile score (P) of the candidate with ranking (r) in the Verbal and Logical Ability section as follows:

Step 4: Now, round out a candidate's calculated percentile score (b) only up to two decimal points. For example, all percentile points that are greater than or equal to 89.995% are rounded to 90%.
Follow the same procedure for calculating the overall XAT percentile marks and the percentage marks for other sections.
On Question asked by student community
Hello,
Here are some top colleges accepting XAT and CAT exams :
Top colleges accepting CAT:
IIMs (All Indian Institutes of Management)
FMS Delhi
SPJIMR Mumbai
MDI Gurgaon
IIT Bombay (SJMSOM)
IIT Delhi (DMS)
IIFT
IMT Ghaziabad
JBIMS Mumbai
Top colleges accepting XAT:
XLRI Jamshedpur
XIMB Bhubaneswar
IMT Ghaziabad
Great
Hi dear candidate,
As per the official cut off list by XISS Ranchi, the cut off for PGDM HRM in XAT exam is 60 percentile for unreserved category (general) which means that your admission is possible there. You follow there official website for admission process.
Know more:
With a 70 percent in CAT Examination, you can go for various B-Schools or private collages. The S. K. Patel Institute of Management in Gandhinagar is an option for those who score 70-80 percent in their CAT examination or The Gujarat Institute of Management (GIM) in Goa with a cutoff
GIBS Business School in Bangalore accepts multiple national and state-level entrance exam scores for admission to its PGDM program. You can apply using scores from exams like CAT, MAT, XAT, CMAT, GMAT, ATMA, or various state-level CETs.
The admission process typically considers your entrance exam score along with your academic
No, it's not mandatory but if you've those score then your option will be vast. Maximum Universities have their own selection process & own exams. If you have those good score they'll prefer you. But as per AICTE rules you have to have one national or state basis entrance exam
Ranked among top 10 B-Schools in India by multiple publications | Top Recruiters-Google, MicKinsey, Amazon, BCG & many more.
Last Date to Apply: 10th Feb | Globally Recognized by AACSB (US) & AMBA (UK) | 17.8 LPA Avg. CTC for PGPM 2025
Applications Deadline - 31st January 2026 | AICTE Approved | Ranked #59 by NIRF 2025 | Highest CTC: 29 LPA | Avg. CTC: 16.4 LPA
Highest Package 27.25 LPA | Top 100 Average package 16.65 LPA | AACSB Accredited | Ranked 52 by QS International
Highest CTC 30 LPA | #9 in Management Category by Times B-School | Merit-Based Scholarship Upto - 50 Crores
100% Placements Record | Highest CTC 40.31 LPA | Average CTC 12.74 LPA | Median CTC 12.48 LPA