Great Lakes - PGDM & PGPM Admissions 2026
Application deadline: 4th Dec | Globally Recognized by AACSB (US) & AMBA (UK) | 17.8 LPA Avg. CTC for PGPM 2025
ISB vs IIM is a dilemma that usually occurs in the minds of candidates who like to do MBA programmes. While thinking about ISB Hyderabad vs IIM, the students are worried about the placement opportunities and skills they can get from these institutes. In this competitive world, it’s not easy to get admission to ISB or IIM institutes. IIM vs ISB colleges have state-of-the-art infrastructure, quality education, excellent placement records, and a learning environment leading to the development of managerial skills. ISB Hyderabad or IIM is a choice for MBA applicants who focus on career goals, course preferences, location, ISB vs IIM executive MBA and IIM vs ISB fees comparison. This article offers knowledge and insights for MBA aspirants to make a final decision on choosing ISB vs IIM management courses. Read the article to know ISB vs IIM Which is better?
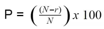
Here's the step-by-step procedure to convert CAT score into percentile:

Follow the same methodology for computing the overall CAT percentile scores and for the percentile scores of other sections.
This Story also Contains
Indian School of Business offers full-time PGP and advanced management programmes to working professionals only based on the performance of candidates in the GMAT/ GRE examinations. For the IIM admission, work experience is not an important factor for applying to various MBA courses. However, the CAT score is considered for the IIM MBA selection process, followed by a written test, GD and personal interview.
ISB and IIM are premium business schools in India. Many MBA specialised programmes and electives are available through these respected organisations' management programmes. According to the FT Global MBA Ranking 2024, ISB is ranked 31st overall in the world and 1st in the research category in India. The IIMs also secured the first positions in the NIRF ranking in 2024.
Application deadline: 4th Dec | Globally Recognized by AACSB (US) & AMBA (UK) | 17.8 LPA Avg. CTC for PGPM 2025
IBSAT 2025-Your gateway to MBA/PGPM @ IBS Hyderabad and 8 other IBS campuses | Scholarships worth 10 CR
The main difference between ISB vs IIM can be seen in the table mentioned below.
ISB Hyderabad | IIM |
Private and autonomous | Government-funded and autonomous |
Campuses are located in Hyderabad and Mohali | 21 Institutes all over India |
Accept GMAT/ GRE score | Accept CAT score |
Courses are offered for working professionals. | Courses are offered for freshers and working professionals. |
Average ISB fees is around Rs. 30 lakhs to Rs. 40 lakhs | Average fees is around Rs. 24 lakhs to Rs. 27 lakhs |
Focus mainly on practicals and research | Focus mainly on theory and research |
Candidates who wish to pursue ISB PGP courses are required to pay an ISB fee of Rs. 40 lakh. Meanwhile, the IIM course fee ranges from Rs. 20 lakhs to Rs. 30 lakhs. The details regarding the ISB vs IIM fees comparison, along with the course duration and accepted entrance exams are mentioned in the table below.
Particulars | ISB Courses | IIM Courses |
Courses |
|
|
Duration | 1 to 2 years | 1 to 2 years |
Accepted entrance exam | GMAT/ GRE score | CAT, GMAT, GRE |
Fee structure | Rs. 30 Lakhs to Rs. 43 lakhs | Rs. 20 Lakhs to Rs. 35 lakhs |
People also search for:
Candidates must meet the ISB vs IIM eligibility criteria to apply for the MBA/ PGDM/ PGP courses. Candidates with a minimum of 2 to 3 years are only eligible to apply for the ISB management courses. On the other hand, candidates with a valid CAT score and no work experience can apply for IIM courses. Check out the below table to see who can apply for the IIM vs ISB management courses
The IIMs also consider work experience as a selection criteria for some of the courses. The details regarding the eligibility criteria for ISB vs IIM admission are listed below.
Particulars | ISB | IIM |
ISB vs IIM Eligibility Criteria | Candidates must have a bachelor’s degree or master’s degree in a relevant field from an approved university. | Candidates must have a bachelor’s degree with a minimum aggregate of 50% marks in a relevant field from an approved university. |
Age Limit | No age limit | No age restriction |
Work Experience | Work experience is mandatory to apply for the ISB PGP / Advanced Management programmes | Work experience is also considered as IIM eligibility criteria. |
Quick Links:
75+ years of legacy | #1 Entrance Exam | Score accepted by 250+ BSchools | Last Date to Apply: 5th Dec'25
Highest Package 27.25 LPA | Top 100 Average package 16.65 LPA | AACSB Accredited | Ranked 52 by QS International
Candidates can apply for the PGP/ AMP programmes offered by ISB Hyderabad and ISB Mohali. ISB admission is carried out through the scores obtained by the applicants in the GMAT or GRE entrance exam and work experience. IIM admission is done based on the CAT score, followed by an interview round. Candidates can go through the details of the ISB vs IIM admission criteria 2025 from the below table.
Candidates who meet the eligibility requirements and entrance exam cutoff can participate in the institute's selection process.
Particulars | ISB | IIM |
ISB vs IIM cutoff |
| CAT cutoff:
|
ISB vs IIM Admission criteria |
|
|
Know more about
Both ISB and IIMs provide executive MBA courses for working professionals. Candidates with a minimum work experience of 3 years are eligible to apply for the ISB vs IIM executive MBA courses. The course fees for doing an ISB executive MBA are Rs. 37 lakhs to 49 lakhs and for IIM it is about Rs. 6 lakh to Rs. 12 lakh.
Both ISB and IIM offer tremendous opportunities for MBA aspirants to be bright in their management career. The ISB vs IIM admission criteria are different from each other. ISB offers courses for working professionals and IIM also provides admission to working professionals and graduates. Getting into the ISB is possible only for candidates with a strong professional background in any sector. The cost of doing an MBA at ISB is high compared to IIM fees. ISB mainly focus on entrepreneurship.
Indian School of Business Hyderabad placement cell offers all the facilities and support for the students to get placed in top companies. According to the recent placement reports, ISB placed around 1609 MBA graduates in various organisations with an average salary package of Rs. 34 lakhs.
While IIM also made 100% placement records in the previous year through lateral, final and summer placements. The IIMs showed an increase in the salary package and the number of students getting recruited by top companies. The IIM placement statistics, such as the highest and average package can vary from one to another.
Particulars | ISB Hyderabad | IIM Lucknow |
Total number of offers made | 324 | 570 |
Number of Recruiters | 1609 | 185+ |
Highest package | Rs.50 LPA | Rs. 58 LPA |
Average package | Rs. 34 LPA | Rs. 31 LPA |
ISB vs IIM placement and training cells ensure the final year graduates get hired in top MNCs with the highest salary packages. These institutions keep the best records in placement and offer a chance to work with the below companies to achieve their dreams. The following are the companies where the students get hired.
Accenture | Adani Group | Aditya Birla Group | Amazon |
Apple | Axis Bank | Citi Bank | Cleartrip |
D.E. Shaw India | Deloitte | Dr Reddy’s Laboratories | Ernst and Young |
Accenture | Genpact | HCL Technologies | |
Amazon | Amazon | Hinduja Group | American Express |
Ranbaxy Laboratories | HSBC Group | Ameriprise Financial | Apollo Tyres |
Also Read:
Candidates who wish to pursue world-class management programmes face this dilemma. It is difficult for those candidates to make a final decision on these institutes. Moreover, ISB vs IIM institutes have both advantages and disadvantages. Candidates can go through the below table to find out the ISB vs IIM pros and cons before choosing their B-school for MBA / PGP programmes.
Pros | Cons |
Students get hands-on experience in solving real-world business challenges, as the ISB curriculum is mainly focused on practical rather than theoretical. | Admission is offered to candidates with work experience only. |
The topics are taken by foreign and experienced industrial experts. | Given the condensed duration of the course, candidates are required to complete the program within a limited timeframe. This could potentially restrict the breadth of learning opportunities. |
The primary emphasis of ISB is to cultivate a mindset in students that encourages the nurturing of their business concepts, thereby providing opportunities to become entrepreneurs. | The ISB course fee is higher compared to the IIM programmes. |
Pros | Cons |
The programme provides students with opportunities to enhance their management skills, which can be applied in real-world business situations. | The IIM admission process is highly competitive compared to ISB. The total number of seats available at IIM is about 5000. |
Students who score high in the CAT exam will get scholarships. | The IIM curriculum does not offer a real-world business experience |
IIM graduates get hired in various top organisations with good salary packages. | IIM mostly focus on theory rather than practical knowledge. |
Frequently Asked Questions (FAQs)
As per the NIRF report 2024, the Indian Institute of Management Ahmedabad, Indian Institute of Management, Bangalore, Indian Institute of Management, Kozhikode, Indian Institute of Management, Indian Institute of Management, Lucknow are the best IIMs in India.
Yes, candidates with a minimum work experience of 2 to 8 years can only apply for the ISB PGP programmes.
The ISB has more global rankings in 2023 compared to the IIM. However, IIM also has global and national rankings. Candidates have different responses regarding ISB vs IIM courses, admission and recruitment experience.
Going by past year's ISB Hyderabad placement trends, the highest package stood at Rs 66 LPA.
On Question asked by student community
Hello,
If your CAT admit card shows your surname first followed by your first name as entered in the form, it is correct. You do not need to worry about this format as long as it matches the details you provided. Ensure all other information on the admit card is accurate and carry it to the exam along with the required identification documents.
Hope this helps you.
Hello,
If your CAT admit card has a different date of birth than your Aadhaar card, you should get it corrected immediately . Here’s what you can do:
Check the CAT website : Log in to your candidate portal and look for the option to correct personal details.
Contact the CAT helpdesk : Email or call them explaining the issue. Attach a copy of your Aadhaar card as proof.
Do not ignore it : The date of birth must match your ID, otherwise you may face problems at the exam or during admission.
Usually, the CAT authorities allow corrections before the exam, so act quickly.
Hope it helps !
Hello,
Here are Documents Required for CUSAT CAT (NRI Quota):
To know more access below mentioned link:
https://engineering.careers360.com/articles/cusat-cat-application-form
Hope it helps.
To get admission into the MBA program course 2026 to 2028 at Great lakes institute of management Gurgaon you need to check about the specific eligibility criterias and the admission process
follow the link given below by careers 360 to get the detail admission process overview into the MBA program at Great lakes institutes of management Gurgaon
https://www.careers360.com/colleges/great-lakes-institute-of-management-gurgaon
You can get the previous year's CUSAT CAT papers in pdf format sample papers from careers360 article. Follow the link given below from careers360 to get the the CUSAT CAT previous years question papers.
Link- https://engineering.careers360.com/articles/cusat-cat-sample-papers
Application deadline: 4th Dec | Globally Recognized by AACSB (US) & AMBA (UK) | 17.8 LPA Avg. CTC for PGPM 2025
IBSAT 2025-Your gateway to MBA/PGPM @ IBS Hyderabad and 8 other IBS campuses | Scholarships worth 10 CR
UGC Approved Programs | Near 100% Placement Record | Up to 100% Scholarships | Highest CTC 21.32 LPA
75+ years of legacy | #1 Entrance Exam | Score accepted by 250+ BSchools | Last Date to Apply: 5th Dec'25
Top Recruiters-Amazon, Microsoft, ITC, Marico, Mindtree & many more | Merit Scholarships available
Accredited by AICTE & NBA | Highest CTC 14.7 LPA | Average CTC 10.5 LPA | Key Recruiters: EY, Deloitte, KPMG, HCL